
The incorrect statement among the following are:
A. \[\alpha - D - glucose\;and\,\;\beta - D - glucose\,\] are enantiomers.
B. The pentaacetate of glucose does not react with hydroxylamine.
C. \[\alpha - D - glucose\;and\,\;\beta - D - glucose\,\] are Anomers.
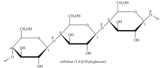
D. Cellulose is straight chain polysaccharide made up of only \[\beta - D - glucose\] units.
Answer
562.5k+ views
Hint: We can solve this question, if we know the difference between the enantiomers and anomers, both contain chiral carbon but one is a mirror image and other is not. One has the structural difference of the only one chiral carbon.
Complete answer
As we know difference between the enantiomers and anomers are enantiomers are those who are mirror images of each other which are non-superimposable and have chiral carbon(carbon with all four different functional group) but anomer are not mirror images but, the difference in structure is due to the attachment of the functional group on the single carbon atom will differ other carbon will have same structure.
Glucose have six carbons as shown in the figure they are attached in a chain form and can also form the cyclic structure without resonance. They have isomeric structure i.e. same number of carbon but different arrangement of the hydroxyl attached to the first carbon if we are considering the glucose isomers \[\alpha - D - glucose\;and\,\;\beta - D - glucose\,\].
In \[D - glucose\],\[\alpha - D - glucose\;and\,\;\beta - D - glucose\,\] are anomers. Anomers are the isomers which have different structures but have the same molecular formula. The first carbon atom will have hydrogen and hydroxyl groups but the way they are attached is different.
option (B) The pentaacetate of glucose does not react with hydroxylamine because a free carbonyl group is needed to form oxime.
Cellulose is straight chain polysaccharide made up of only \[\beta - D - glucose\] units. Option (D) is true because of this structure.
\[\alpha - D - glucose\;and\,\;\beta - D - glucose\,\] are anomers.
Therefore, the correct answer is Option A. \[\alpha - D - glucose\;and\,\;\beta - D - glucose\,\] are enantiomers is incorrect.
Note:
Here the structure which is different is asked. The definition and understanding of the structure is must. The cyclic and chain structure of glucose is formed and the enantiomers are not possible because cyclic structure cannot be a mirror image of each other.
Complete answer
As we know difference between the enantiomers and anomers are enantiomers are those who are mirror images of each other which are non-superimposable and have chiral carbon(carbon with all four different functional group) but anomer are not mirror images but, the difference in structure is due to the attachment of the functional group on the single carbon atom will differ other carbon will have same structure.
Glucose have six carbons as shown in the figure they are attached in a chain form and can also form the cyclic structure without resonance. They have isomeric structure i.e. same number of carbon but different arrangement of the hydroxyl attached to the first carbon if we are considering the glucose isomers \[\alpha - D - glucose\;and\,\;\beta - D - glucose\,\].
In \[D - glucose\],\[\alpha - D - glucose\;and\,\;\beta - D - glucose\,\] are anomers. Anomers are the isomers which have different structures but have the same molecular formula. The first carbon atom will have hydrogen and hydroxyl groups but the way they are attached is different.
option (B) The pentaacetate of glucose does not react with hydroxylamine because a free carbonyl group is needed to form oxime.
Cellulose is straight chain polysaccharide made up of only \[\beta - D - glucose\] units. Option (D) is true because of this structure.
\[\alpha - D - glucose\;and\,\;\beta - D - glucose\,\] are anomers.
Therefore, the correct answer is Option A. \[\alpha - D - glucose\;and\,\;\beta - D - glucose\,\] are enantiomers is incorrect.
Note:
Here the structure which is different is asked. The definition and understanding of the structure is must. The cyclic and chain structure of glucose is formed and the enantiomers are not possible because cyclic structure cannot be a mirror image of each other.
Recently Updated Pages
How was Gandhi able to influence lawyers Give inst class 12 english CBSE

24 DNP reacts with carbonyls aldehydesketones to give class 12 chemistry CBSE

The idea of the Constitution of India was first of class 12 social science CBSE

What is meant by the following terms Give an example class 12 chemistry CBSE

When an object is placed between the focus and pole class 12 physics CBSE

A convex lens of focal length 20 cm is placed coaxially class 12 physics CBSE

Trending doubts
What are the major means of transport Explain each class 12 social science CBSE

Which are the Top 10 Largest Countries of the World?

Draw a labelled sketch of the human eye class 12 physics CBSE

Explain sex determination in humans with line diag class 12 biology CBSE

The pH of the pancreatic juice is A 64 B 86 C 120 D class 12 biology CBSE

Give 10 examples of unisexual and bisexual flowers

