
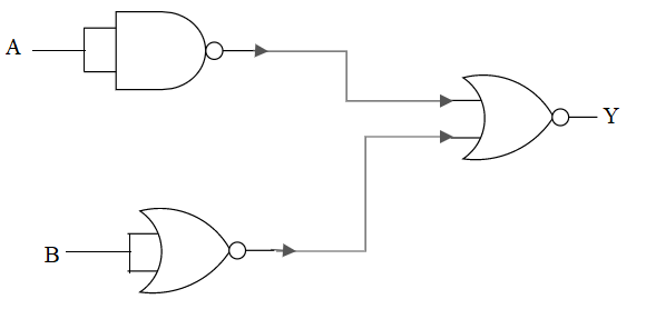
The given electrical network is equivalent to ?
A) AND gate
B) OR gate
C)NOR gate
D) NOT gate
Answer
520.8k+ views
Hint: In the above mentioned electrical network we can see that one nand gate and 2nor gate are used .NAND gate is a combination of AND and NOT gate and NOR gate is a combination of digital OR gate and an inverter or NOT gate connected together NAND and NOR gates are universal gates and also economical.
Complete answer:
NAND gate
Nand gate is a combination of an AND gate and NOT gate ,they are connected in cascade form it is also called negated and gate
NAND gate is represented as below
Boolean expression of NAND gate is
$output(y)=\overline{A.B}$
Truth table
NOR Gate
NOR gate is a combination of digital OR gate and an inverter or NOT gate connected together NAND and NOR gates are universal gates and also economical.
NOR gate is represented as below
Boolean expression of NOR gate
$y=\overline{A+B}$
Truth table
In the above electrical network the input $A$ enter the NAND gate and the output of NAND gate is $\overline{A}$
Input $B$ enters the NOR gate and the output of NOT gate is $\overline{B}$
In the electrical network the output of both NAND gate and nor gate is given as input to NOR gate
$Y=\overline{\overline{A}+\overline{B}}$
From DeMorgan’s Second theorem
$\overline{\overline{A}+\overline{B}}=A.B$
The final output is $A.B$
Which is the output of AND gate
So the electrical network is equivalent to AND gate that is option A.
Note:
Students DeMorgan’s first theorem and the second theorem are different from the DeMorgan’s first theorem we get $\overline{A.B}=\overline{A}+\overline{B}$ from DeMorgan’s second theorem we get $\overline{A+B}=\overline{A}.\overline{B}$ these two theorems will help to solve any electrical network with logic gates. NOR gate is equivalent to bubbled AND gate.
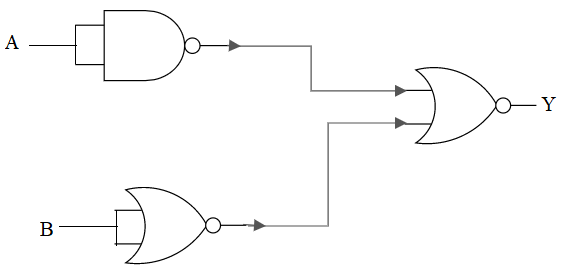
Complete answer:
NAND gate
Nand gate is a combination of an AND gate and NOT gate ,they are connected in cascade form it is also called negated and gate
NAND gate is represented as below
Boolean expression of NAND gate is
$output(y)=\overline{A.B}$
Truth table
| A | B | Y |
| 0 | 0 | 1 |
| 0 | 1 | 1 |
| 1 | 0 | 1 |
| 1 | 1 | 0 |
NOR Gate
NOR gate is a combination of digital OR gate and an inverter or NOT gate connected together NAND and NOR gates are universal gates and also economical.
NOR gate is represented as below
Boolean expression of NOR gate
$y=\overline{A+B}$
Truth table
| A | B | Y |
| 0 | 0 | 1 |
| 0 | 1 | 0 |
| 1 | 0 | 0 |
| 1 | 1 | 0 |
In the above electrical network the input $A$ enter the NAND gate and the output of NAND gate is $\overline{A}$
Input $B$ enters the NOR gate and the output of NOT gate is $\overline{B}$
In the electrical network the output of both NAND gate and nor gate is given as input to NOR gate
$Y=\overline{\overline{A}+\overline{B}}$
From DeMorgan’s Second theorem
$\overline{\overline{A}+\overline{B}}=A.B$
The final output is $A.B$
Which is the output of AND gate
So the electrical network is equivalent to AND gate that is option A.
Note:
Students DeMorgan’s first theorem and the second theorem are different from the DeMorgan’s first theorem we get $\overline{A.B}=\overline{A}+\overline{B}$ from DeMorgan’s second theorem we get $\overline{A+B}=\overline{A}.\overline{B}$ these two theorems will help to solve any electrical network with logic gates. NOR gate is equivalent to bubbled AND gate.
Recently Updated Pages
A man running at a speed 5 ms is viewed in the side class 12 physics CBSE

The number of solutions in x in 02pi for which sqrt class 12 maths CBSE

State and explain Hardy Weinbergs Principle class 12 biology CBSE

Write any two methods of preparation of phenol Give class 12 chemistry CBSE

Which of the following statements is wrong a Amnion class 12 biology CBSE

Differentiate between action potential and resting class 12 biology CBSE

Trending doubts
What are the major means of transport Explain each class 12 social science CBSE

Which are the Top 10 Largest Countries of the World?

Draw a labelled sketch of the human eye class 12 physics CBSE

How much time does it take to bleed after eating p class 12 biology CBSE

Explain sex determination in humans with line diag class 12 biology CBSE

Explain sex determination in humans with the help of class 12 biology CBSE

