
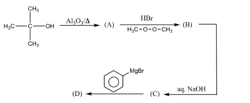
The end product D what is the reaction?
Answer
532.5k+ views
Hint: This question gives the knowledge about the dehydration reaction, addition reaction and Grignard’s reagent reaction. Dehydration reaction is the reaction in which release of water molecules takes place with the help of a dehydrating agent.
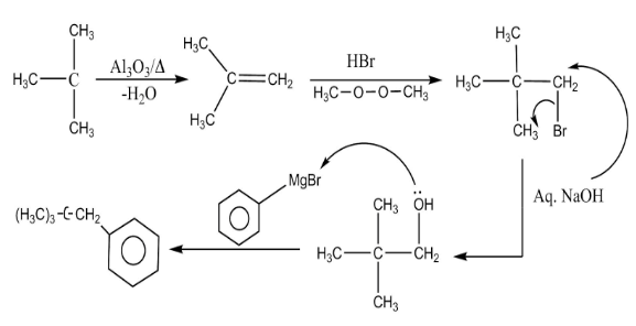
Complete step-by-step answer: It is a multistep reaction. A multistep reaction is the reaction which completes through various steps. In this reaction, at each step various name reactions are taking place.
The detailed mechanism of the reaction is as follows:
In the first step a dehydration reaction is taking place. Dehydration reaction is the reaction in which release of water molecules takes place with the help of a dehydrating agent. In this step, tertiary butanol reacts with aluminum oxide in the presence of heat to form alkene.
In the second step, the resultant alkene undergoes addition reaction with hydrogen bromide in the presence of peroxide using anti-markovnikov rule. In this step the bromide group attaches to the less hindered site.
In the third step, elimination reaction takes place. In this step the bromide group gets eliminated by the action of aqueous sodium hydroxide.
In the fourth step, Grignard’s reaction takes place. In this step the negative charge present on the benzene ring forms a bond with the positive charge on the carbon atom of another molecule.
The end product $D$ of the reaction is
Hence, option $2$ is the correct option.
Note: Dehydrating reaction results in the removal of water molecules when two molecules react with each other. Elimination reactions generally leads to the formation of alkene by the removal of good leaving groups such as bromide, chloride and so forth.
Complete step-by-step answer: It is a multistep reaction. A multistep reaction is the reaction which completes through various steps. In this reaction, at each step various name reactions are taking place.
The detailed mechanism of the reaction is as follows:
In the first step a dehydration reaction is taking place. Dehydration reaction is the reaction in which release of water molecules takes place with the help of a dehydrating agent. In this step, tertiary butanol reacts with aluminum oxide in the presence of heat to form alkene.
In the second step, the resultant alkene undergoes addition reaction with hydrogen bromide in the presence of peroxide using anti-markovnikov rule. In this step the bromide group attaches to the less hindered site.
In the third step, elimination reaction takes place. In this step the bromide group gets eliminated by the action of aqueous sodium hydroxide.
In the fourth step, Grignard’s reaction takes place. In this step the negative charge present on the benzene ring forms a bond with the positive charge on the carbon atom of another molecule.
The end product $D$ of the reaction is
Hence, option $2$ is the correct option.
Note: Dehydrating reaction results in the removal of water molecules when two molecules react with each other. Elimination reactions generally leads to the formation of alkene by the removal of good leaving groups such as bromide, chloride and so forth.
Recently Updated Pages
A man running at a speed 5 ms is viewed in the side class 12 physics CBSE

State and explain Hardy Weinbergs Principle class 12 biology CBSE

Which of the following statements is wrong a Amnion class 12 biology CBSE

Two Planoconcave lenses 1 and 2 of glass of refractive class 12 physics CBSE

The compound 2 methyl 2 butene on reaction with NaIO4 class 12 chemistry CBSE

Bacterial cell wall is made up of A Cellulose B Hemicellulose class 12 biology CBSE

Trending doubts
What are the major means of transport Explain each class 12 social science CBSE

Which are the Top 10 Largest Countries of the World?

Draw a labelled sketch of the human eye class 12 physics CBSE

Explain sex determination in humans with line diag class 12 biology CBSE

Give 10 examples of unisexual and bisexual flowers

State the principle of an ac generator and explain class 12 physics CBSE

