
The correct sequence of steps involved in the mechanism of Cannizzaro reaction is:
A. nucleophilic attack, transfer of ${{H}^{-}}$ and transfer of ${{H}^{+}}$
B. transfer of ${{H}^{-}}$, transfer of ${{H}^{+}}$ and nucleophilic attack
C. transfer of ${{H}^{+}}$ nucleophilic attack and transfer of ${{H}^{-}}$
D. electrophilic attack by $O{{H}^{-}}$ transfer of${{H}^{-}}$ and transfer of ${{H}^{-}}$
Answer
571.8k+ views
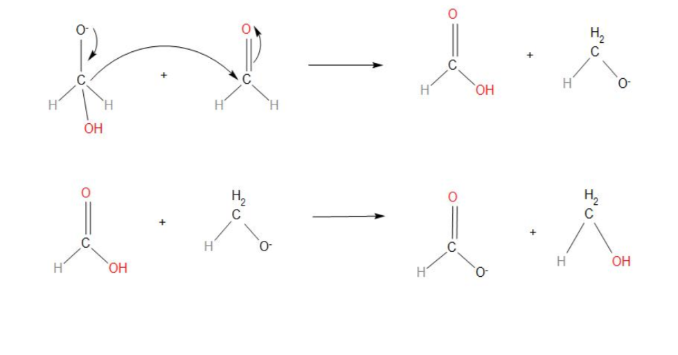
Hint: Cannizzaro reaction is a reaction in which disproportionation of two molecules of aldehyde takes place to give a primary alcohol and a carboxylic acid, it involves the nucleophilic substitution on aldehydes.
Complete step by step answer:
- We can see from the following mechanism that how Cannizzaro reaction takes place:
- We can see that in step 1, we have, one HCHO and one $O{{H}^{-}}$, which will react together and this will be the fast step of the reaction, we can say that there is nucleophilic attack of $O{{H}^{-}}$ to the carbonyl carbon and we get:
- In step 2, we can see that the transfer of hydride ions from anion to the second molecule of aldehyde takes place. And finally the rapid transfer of protons takes place.
- Hence, we can conclude that the correct sequence of steps involved in the mechanism of Cannizzaro reaction is: nucleophilic attack, transfer of ${{H}^{-}}$ and transfer of ${{H}^{+}}$
So, the correct answer is “Option C”.
Note: - This reaction is always given by aldehydes that doesn’t have an alpha hydrogen atom (it is present on the alpha carbon). For example, acetaldehyde doesn’t undergo a cannizzaro reaction because it has alpha hydrogen.
Complete step by step answer:
- We can see from the following mechanism that how Cannizzaro reaction takes place:
- We can see that in step 1, we have, one HCHO and one $O{{H}^{-}}$, which will react together and this will be the fast step of the reaction, we can say that there is nucleophilic attack of $O{{H}^{-}}$ to the carbonyl carbon and we get:
- In step 2, we can see that the transfer of hydride ions from anion to the second molecule of aldehyde takes place. And finally the rapid transfer of protons takes place.
- Hence, we can conclude that the correct sequence of steps involved in the mechanism of Cannizzaro reaction is: nucleophilic attack, transfer of ${{H}^{-}}$ and transfer of ${{H}^{+}}$
So, the correct answer is “Option C”.
Note: - This reaction is always given by aldehydes that doesn’t have an alpha hydrogen atom (it is present on the alpha carbon). For example, acetaldehyde doesn’t undergo a cannizzaro reaction because it has alpha hydrogen.
Recently Updated Pages
A man running at a speed 5 ms is viewed in the side class 12 physics CBSE

The number of solutions in x in 02pi for which sqrt class 12 maths CBSE

State and explain Hardy Weinbergs Principle class 12 biology CBSE

Write any two methods of preparation of phenol Give class 12 chemistry CBSE

Which of the following statements is wrong a Amnion class 12 biology CBSE

Differentiate between action potential and resting class 12 biology CBSE

Trending doubts
What are the major means of transport Explain each class 12 social science CBSE

Which are the Top 10 Largest Countries of the World?

Draw a labelled sketch of the human eye class 12 physics CBSE

Explain sex determination in humans with line diag class 12 biology CBSE

Explain sex determination in humans with the help of class 12 biology CBSE

Differentiate between homogeneous and heterogeneous class 12 chemistry CBSE

