
The correct match between column I and column II is:
Column I Column II (a) Ester test (p) Tyr (b) Carbylamine test (q) Asp (c) Phthalein dye test (r) Ser (s) Lys
A. $(a)\to (q);(b)\to (s);(c)\to (p)$
B. $(a)\to (r);(b)\to (q);(c)\to (p)$
C. $(a)\to (q);(b)\to (s);(c)\to (r)$
D. $(a)\to (r);(b)\to (s);(c)\to (q)$
| Column I | Column II |
| (a) Ester test | (p) Tyr |
| (b) Carbylamine test | (q) Asp |
| (c) Phthalein dye test | (r) Ser |
| (s) Lys |
Answer
550.8k+ views
Hint: Think about the structures of each of the amino acids given in column II and analyze the functional groups that are present. According to these, determine which test they will give a positive for.
Complete answer:
We will look at the tests given in column I first and determine the parameters are required for a compound to give a positive result at the test.
- The ester test will give a positive result if the compound contains a carboxylic acid group. This acid group will combine with alcohol in an acidic medium and will hence give a positive ester test.
- The carbylamine test requires the compound to have a primary anime $(-N{{H}_{2}})$ to give a positive result. Any amino acid that contains a primary amino group will show a positive carbylamine test.
- For the phthalein dye test, the presence of a phenolic group is essential for a positive result. The phenolic group reacts with phthalic anhydride and gives a positive test.
Now, let us look at the structures of all the amino acids to determine the answer.
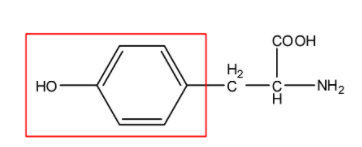
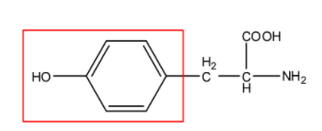
- Tyrosine
Here, we can see that a phenolic group is present in the amino acid. Thus, tyrosine will give a positive result for the phthalein dye test. Hence, $(c)\to (p)$.
- Aspartic acid
Here, we can see that a carboxylic acid group is present in this amino acid, so it will show a positive result for the ester test. Hence, $(a)\to (q)$
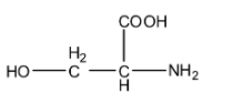
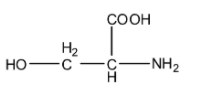
- Serine
We can see that there are no such distinctive groups present in this amino acid that will give a positive result for the tests listed in column I. Hence, $(\times )\to (r)$
- Lysine
Here, we can see that a primary amino group is present in this amino acid and it will show a positive result for the carbylamine test. Hence, $(b)\to (s)$
Hence, we can say that the correct answer to this question is ‘A. $(a)\to (q);(b)\to (s);(c)\to (p)$’ .
Note:
Remember that while checking the functional groups to check which amino acid will give a positive test, we ignore the part that will be common for all the amino acids. The following part will be ignored and the $R$ given here denotes the group that makes all the amino acids distinct. We have to check for the functional groups in this $R$ and not the remaining part.
Complete answer:
We will look at the tests given in column I first and determine the parameters are required for a compound to give a positive result at the test.
- The ester test will give a positive result if the compound contains a carboxylic acid group. This acid group will combine with alcohol in an acidic medium and will hence give a positive ester test.
- The carbylamine test requires the compound to have a primary anime $(-N{{H}_{2}})$ to give a positive result. Any amino acid that contains a primary amino group will show a positive carbylamine test.
- For the phthalein dye test, the presence of a phenolic group is essential for a positive result. The phenolic group reacts with phthalic anhydride and gives a positive test.
Now, let us look at the structures of all the amino acids to determine the answer.
- Tyrosine
Here, we can see that a phenolic group is present in the amino acid. Thus, tyrosine will give a positive result for the phthalein dye test. Hence, $(c)\to (p)$.
- Aspartic acid
Here, we can see that a carboxylic acid group is present in this amino acid, so it will show a positive result for the ester test. Hence, $(a)\to (q)$
- Serine
We can see that there are no such distinctive groups present in this amino acid that will give a positive result for the tests listed in column I. Hence, $(\times )\to (r)$
- Lysine
Here, we can see that a primary amino group is present in this amino acid and it will show a positive result for the carbylamine test. Hence, $(b)\to (s)$
Hence, we can say that the correct answer to this question is ‘A. $(a)\to (q);(b)\to (s);(c)\to (p)$’ .
Note:
Remember that while checking the functional groups to check which amino acid will give a positive test, we ignore the part that will be common for all the amino acids. The following part will be ignored and the $R$ given here denotes the group that makes all the amino acids distinct. We have to check for the functional groups in this $R$ and not the remaining part.
Recently Updated Pages
Master Class 12 Business Studies: Engaging Questions & Answers for Success

Master Class 12 Economics: Engaging Questions & Answers for Success

Master Class 12 English: Engaging Questions & Answers for Success

Master Class 12 Maths: Engaging Questions & Answers for Success

Master Class 12 Social Science: Engaging Questions & Answers for Success

Master Class 12 Chemistry: Engaging Questions & Answers for Success

Trending doubts
What are the major means of transport Explain each class 12 social science CBSE

Which are the Top 10 Largest Countries of the World?

Draw a labelled sketch of the human eye class 12 physics CBSE

How much time does it take to bleed after eating p class 12 biology CBSE

Explain sex determination in humans with line diag class 12 biology CBSE

Differentiate between homogeneous and heterogeneous class 12 chemistry CBSE

