
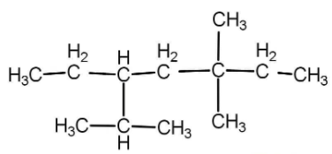
The correct IUPAC name of the structure is:
A) 3-isopropyl-5,5-dimethyl heptane
B) 5-Ethyl-3,3,6-trimethyl heptane
C) 3,3-Dimethyl-5-isopropyl heptane
D) 3-Ethyl-2,5,5-trimethyl heptane
Answer
535.8k+ views
Hint:
To write the name we have to follow the IUPAC nomenclature. First of all we need to select the straight chain of longest carbon. While writing the names, side substituents are written first and then the name.
Complete step by step solution:
First of all we need to select a parent chain that contains the maximum number of carbons. The chain must be a straight chain and no branching should be there. In whatsoever manner we select, in the above question we will get a straight chain of maximum 7 carbon atoms and has all single bonds. The name of the parent chain will be heptane.
Now we will select that carbon chain which has maximum number of side substituent and that is:
The numbering is done according to that the side substituents get maximum number. If we will start numbering from right then we will get the number 2234 and if we start numbering from left then we will get the number 2355. Hence we will start with the left.
There are 3 methyl groups as substituent and 1 ethyl group. Naming of substituent is done alphabetically so ethyl will be written first.
Ethyl group is on carbon number 3, methyl groups are in carbon number 2, 5 and 5 and there are trees so we will use tri as a prefix. Hence the name will be:
3-Ethyl-2,5,5-trimethyl heptanes
Thus, the correct option is D.
Note:
The IUPAC stands for International Union for Pure and Applied Chemistry. The IUPAC has set some norms for naming the organic compounds so that the standard names can be used worldwide and they are universally accepted.
To write the name we have to follow the IUPAC nomenclature. First of all we need to select the straight chain of longest carbon. While writing the names, side substituents are written first and then the name.
Complete step by step solution:
First of all we need to select a parent chain that contains the maximum number of carbons. The chain must be a straight chain and no branching should be there. In whatsoever manner we select, in the above question we will get a straight chain of maximum 7 carbon atoms and has all single bonds. The name of the parent chain will be heptane.
Now we will select that carbon chain which has maximum number of side substituent and that is:
The numbering is done according to that the side substituents get maximum number. If we will start numbering from right then we will get the number 2234 and if we start numbering from left then we will get the number 2355. Hence we will start with the left.
There are 3 methyl groups as substituent and 1 ethyl group. Naming of substituent is done alphabetically so ethyl will be written first.
Ethyl group is on carbon number 3, methyl groups are in carbon number 2, 5 and 5 and there are trees so we will use tri as a prefix. Hence the name will be:
3-Ethyl-2,5,5-trimethyl heptanes
Thus, the correct option is D.
Note:
The IUPAC stands for International Union for Pure and Applied Chemistry. The IUPAC has set some norms for naming the organic compounds so that the standard names can be used worldwide and they are universally accepted.
Recently Updated Pages
A concave lens of focal length 15 cm forms an image class 12 physics CBSE

State the postulates of special theory of relativi class 12 physics CBSE

Give one chemical test to distinguish between ethylamine class 12 chemistry CBSE

Width of a slab is 6cm whose mu dfrac32 If its rear class 12 physics CBSE

The relation between current density j and drift velocity class 12 physics CBSE

Derive mirror equation State any three experimental class 12 physics CBSE

Trending doubts
What are the major means of transport Explain each class 12 social science CBSE

Which are the Top 10 Largest Countries of the World?

Draw a labelled sketch of the human eye class 12 physics CBSE

Explain sex determination in humans with line diag class 12 biology CBSE

The pH of the pancreatic juice is A 64 B 86 C 120 D class 12 biology CBSE

Explain sex determination in humans with the help of class 12 biology CBSE

