State any two methods by which ordinary light can be polarized.
Answer
568.5k+ views
Hint: Polarization is the process of restricting or stopping the vibrations of a transverse wave, fully or partially. This is generally exhibited in light. So there are certain processes of polarization of light and all related to some material which polarizes the light or some phenomenon which polarizes the light.
Complete step by step solution:
Two methods by which ordinary light can be polarized are:
1. Polarization by Double refraction.
2. Dichroism
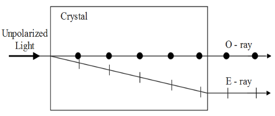
Polarization by double refraction:
Birefringence also is known as double polarization is an optical property in which a single ray of light which is un-polarized enters into an anisotropic medium and splits into two different rays, and both of them travel in a different direction. One of the rays is known as an extraordinary ray and the other is known as an ordinary ray. The extraordinary ray is refracted or bent at a fixed angle as the ray travels through the medium and the other ray that is the ordinary one passes through the medium totally unchanged without any effect. The extraordinary ray of light is the ray which is polarized.
Dichroism:
There are certain crystalline materials that tend to absorb more light in one of the incident planes than another plane, so that light that is moving through the material becomes more and more polarized as they proceed through the crystal. This anisotropy in the absorption of light in one incident plane is known as dichroism. There are several materials that occur naturally and exhibit this property like calcite crystal.
Note: Polarization allows only one single type of wave to stay in light. Polarization is done because it affects the focus of laser beams, can prevent unwanted back reflections, can influence the cut-off wavelength of the filters, etc.
Complete step by step solution:
Two methods by which ordinary light can be polarized are:
1. Polarization by Double refraction.
2. Dichroism
Polarization by double refraction:
Birefringence also is known as double polarization is an optical property in which a single ray of light which is un-polarized enters into an anisotropic medium and splits into two different rays, and both of them travel in a different direction. One of the rays is known as an extraordinary ray and the other is known as an ordinary ray. The extraordinary ray is refracted or bent at a fixed angle as the ray travels through the medium and the other ray that is the ordinary one passes through the medium totally unchanged without any effect. The extraordinary ray of light is the ray which is polarized.
Dichroism:
There are certain crystalline materials that tend to absorb more light in one of the incident planes than another plane, so that light that is moving through the material becomes more and more polarized as they proceed through the crystal. This anisotropy in the absorption of light in one incident plane is known as dichroism. There are several materials that occur naturally and exhibit this property like calcite crystal.
Note: Polarization allows only one single type of wave to stay in light. Polarization is done because it affects the focus of laser beams, can prevent unwanted back reflections, can influence the cut-off wavelength of the filters, etc.
Recently Updated Pages
Three beakers labelled as A B and C each containing 25 mL of water were taken A small amount of NaOH anhydrous CuSO4 and NaCl were added to the beakers A B and C respectively It was observed that there was an increase in the temperature of the solutions contained in beakers A and B whereas in case of beaker C the temperature of the solution falls Which one of the following statements isarecorrect i In beakers A and B exothermic process has occurred ii In beakers A and B endothermic process has occurred iii In beaker C exothermic process has occurred iv In beaker C endothermic process has occurred

Master Class 12 Social Science: Engaging Questions & Answers for Success

Master Class 12 Physics: Engaging Questions & Answers for Success

Master Class 12 Maths: Engaging Questions & Answers for Success

Master Class 12 Economics: Engaging Questions & Answers for Success

Master Class 12 Chemistry: Engaging Questions & Answers for Success

Trending doubts
Which are the Top 10 Largest Countries of the World?

Draw a labelled sketch of the human eye class 12 physics CBSE

Differentiate between homogeneous and heterogeneous class 12 chemistry CBSE

What are the major means of transport Explain each class 12 social science CBSE

Sulphuric acid is known as the king of acids State class 12 chemistry CBSE

Why should a magnesium ribbon be cleaned before burning class 12 chemistry CBSE

