
Show the mechanism of $\text{KOH}$ and alcohol for forming double bonds in an alkyl halide?
Answer
533.4k+ views
Hint: To solve this question, we first need to know what an alkyl halide means. After that, we will find the equilibrium of the given reaction and then find the most favourable reactant. And then, we can easily solve the question. The mechanism followed is E2 and the process is also called dehydrohalogenation.
Complete step-by-step answer:In a solution of alcoholic $\text{KOH}$, we have the equilibrium:
$\text{CH}_{3} \text{CH}_{2} \text{O}-\text{H}+\text{OH} \rightleftharpoons \text{CH}_{3} \text{CH}_{2} \text{O}^{-}+\text{H}_{2} \text{O}$
We can observe that the direction of the equilibrium in the above stated chemical equation is present towards the left hand side. So, we can say that there is very less presence of ethoxide ions.
Also, we know that ethoxide is very much strong when compared to hydroxide. So, ethoxide is a more favoured reactant.
The ethoxide attacks an $\alpha$ -hydrogen atom in an $\text{E} 2$ elimination reaction.
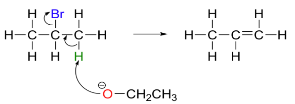
The chemical reaction asked in the question is represented as:
Therefore, the final products formed are ethanol, an alkene, and a halide ion.
Additional Information:
Chemical compounds that are often derived from alkanes containing one or more halogens are alkyl halides, also called haloalkanes or halogenoalkanes. We can also say that alkyl halides are a subset of the halocarbon general class.
Note:Alkyl halides or haloalkanes are formed by substituting halogen atoms for hydrogen atoms in aliphatic hydrocarbons (Fluorine, chlorine, bromine or iodine). Any organic precursors such as alkanes, alkenes, or alcohols and carboxylic acids can also be produced from them. Alkyl halides generally contain hydrogen atoms attached to the alkyl groups of \[s{{p}^{3}}\] hybridized carbon atoms.
Complete step-by-step answer:In a solution of alcoholic $\text{KOH}$, we have the equilibrium:
$\text{CH}_{3} \text{CH}_{2} \text{O}-\text{H}+\text{OH} \rightleftharpoons \text{CH}_{3} \text{CH}_{2} \text{O}^{-}+\text{H}_{2} \text{O}$
We can observe that the direction of the equilibrium in the above stated chemical equation is present towards the left hand side. So, we can say that there is very less presence of ethoxide ions.
Also, we know that ethoxide is very much strong when compared to hydroxide. So, ethoxide is a more favoured reactant.
The ethoxide attacks an $\alpha$ -hydrogen atom in an $\text{E} 2$ elimination reaction.
The chemical reaction asked in the question is represented as:
Therefore, the final products formed are ethanol, an alkene, and a halide ion.
Additional Information:
Chemical compounds that are often derived from alkanes containing one or more halogens are alkyl halides, also called haloalkanes or halogenoalkanes. We can also say that alkyl halides are a subset of the halocarbon general class.
Note:Alkyl halides or haloalkanes are formed by substituting halogen atoms for hydrogen atoms in aliphatic hydrocarbons (Fluorine, chlorine, bromine or iodine). Any organic precursors such as alkanes, alkenes, or alcohols and carboxylic acids can also be produced from them. Alkyl halides generally contain hydrogen atoms attached to the alkyl groups of \[s{{p}^{3}}\] hybridized carbon atoms.
Recently Updated Pages
Why are manures considered better than fertilizers class 11 biology CBSE

Find the coordinates of the midpoint of the line segment class 11 maths CBSE

Distinguish between static friction limiting friction class 11 physics CBSE

The Chairman of the constituent Assembly was A Jawaharlal class 11 social science CBSE

The first National Commission on Labour NCL submitted class 11 social science CBSE

Number of all subshell of n + l 7 is A 4 B 5 C 6 D class 11 chemistry CBSE

Trending doubts
1 Quintal is equal to a 110 kg b 10 kg c 100kg d 1000 class 11 physics CBSE

What is Environment class 11 chemistry CBSE

Bond order ofO2 O2+ O2 and O22 is in order A O2 langle class 11 chemistry CBSE

How many squares are there in a chess board A 1296 class 11 maths CBSE

Distinguish between verbal and nonverbal communica class 11 english CBSE

The equivalent weight of Mohrs salt FeSO4 NH42SO4 6H2O class 11 chemistry CBSE

