
Shape of \[{{\left( \mathbf{Si}{{\mathbf{H}}_{\mathbf{3}}} \right)}_{\mathbf{3}}}\mathbf{N}~\] with respect to \[\mathbf{N}~\] is:
A.Pyramidal.
B.Tetrahedral.
C.Trigonal Planar.
D.T-Shaped
Answer
546.3k+ views
Hint: For solving these types of questions, firstly we need to refer to valence bond theory which explains that structure as well as magnetic property of coordination compound. According to valence bond theory, metal ions or atoms under influence of ligands use $(n-1)d,ns,np$ along with $d$ orbital for hybridization. Thus yields a set of equivalent orbits that define geometry in terms of octahedral, tetrahedral and square planar. These hybridized orbits can also overlap with the ligand orbital to donate electron pairs for the bonding purpose.
Complete step-by-step answer:As we know that molecular formula of \[N{{(Si{{H}_{3}})}_{3}}\]as well as it has \[p\pi -d\pi ~\] bonding present. From the molecular formula we get to the concept of back-bonding is followed here.
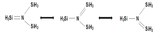
\[N{{(Si{{H}_{3}})}_{3}}\] is example where back-bonding is involved in above diagrams due to presence of empty $3d$ orbitals in $Si$ atom lone pair N-atom get coordinate which is in empty $3d$ orbital of Si leading with formation \[p\pi -d\pi ~\] co-ordinate bond which leads to change from $s{{p}^{3}}$ N-atom to $s{{p}^{2}}$ N-atom. Thus it forms a trigonal planar molecule, also from the diagram below it is clear that the trigonal planar geometry is with all resonating structures.
Therefore, option C is correct option i.e. Shape of \[{{\left( \mathbf{Si}{{\mathbf{H}}_{\mathbf{3}}} \right)}_{\mathbf{3}}}\mathbf{N}~\] with respect to \[\mathbf{N}~\] is Trigonal Planar.
Note: As we know, the structure of trimethylamine is pyramidal in shape due to the presence of bonding examples like trisilylamine. The trimethylamine molecular formula is given by \[{{(Si{{H}_{3}})}_{3}}N\] where $N$ undergoes a hybridization process as well as shape is pyramidal. Therefore, it's more basic than the former compound.
Complete step-by-step answer:As we know that molecular formula of \[N{{(Si{{H}_{3}})}_{3}}\]as well as it has \[p\pi -d\pi ~\] bonding present. From the molecular formula we get to the concept of back-bonding is followed here.
\[N{{(Si{{H}_{3}})}_{3}}\] is example where back-bonding is involved in above diagrams due to presence of empty $3d$ orbitals in $Si$ atom lone pair N-atom get coordinate which is in empty $3d$ orbital of Si leading with formation \[p\pi -d\pi ~\] co-ordinate bond which leads to change from $s{{p}^{3}}$ N-atom to $s{{p}^{2}}$ N-atom. Thus it forms a trigonal planar molecule, also from the diagram below it is clear that the trigonal planar geometry is with all resonating structures.
Therefore, option C is correct option i.e. Shape of \[{{\left( \mathbf{Si}{{\mathbf{H}}_{\mathbf{3}}} \right)}_{\mathbf{3}}}\mathbf{N}~\] with respect to \[\mathbf{N}~\] is Trigonal Planar.
Note: As we know, the structure of trimethylamine is pyramidal in shape due to the presence of bonding examples like trisilylamine. The trimethylamine molecular formula is given by \[{{(Si{{H}_{3}})}_{3}}N\] where $N$ undergoes a hybridization process as well as shape is pyramidal. Therefore, it's more basic than the former compound.
Recently Updated Pages
Master Class 12 Economics: Engaging Questions & Answers for Success

Master Class 12 Physics: Engaging Questions & Answers for Success

Master Class 12 English: Engaging Questions & Answers for Success

Master Class 12 Social Science: Engaging Questions & Answers for Success

Master Class 12 Maths: Engaging Questions & Answers for Success

Master Class 12 Business Studies: Engaging Questions & Answers for Success

Trending doubts
Which are the Top 10 Largest Countries of the World?

What are the major means of transport Explain each class 12 social science CBSE

Draw a labelled sketch of the human eye class 12 physics CBSE

Why cannot DNA pass through cell membranes class 12 biology CBSE

Differentiate between insitu conservation and exsitu class 12 biology CBSE

Draw a neat and well labeled diagram of TS of ovary class 12 biology CBSE

