
When the polynomial $\left( 6{{x}^{4}}+8{{x}^{3}}+17{{x}^{2}}+21x+7 \right)$ is divided by $\left( 3{{x}^{2}}+4x+1 \right)$ the remainder is $\left( ax-b \right)$. Therefore,
\[\begin{align}
& A.a=1,b=2 \\
& B.a=1,b=-2 \\
& C.a=2,b=1 \\
& D.a=-1,b=-2 \\
\end{align}\]
Answer
569.1k+ views
Hint: In this question, we are given two polynomials and we need to divide them to find the remainder. For this, we will use the long division method. We will first learn all the steps involved and then solve our sum.
Complete step by step answer:
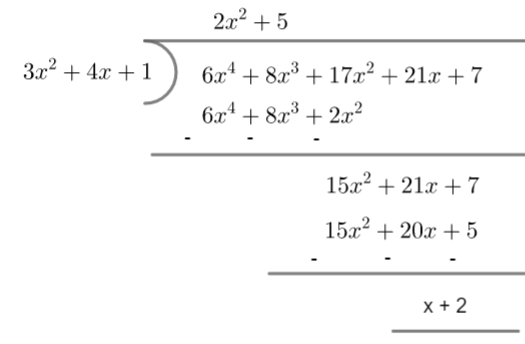
We are given the polynomial as $\left( 6{{x}^{4}}+8{{x}^{3}}+17{{x}^{2}}+21x+7 \right)$ and $\left( 3{{x}^{2}}+4x+1 \right)$. For dividing them, let us use the following steps.
Step 1: Let us make sure that, polynomial is written in descending order. Now let us divide the term with highest power inside the division symbol by the term with the highest power outside the division symbol.
Step 2: Let us multiply the answer obtained in the previous step by the polynomial in front of the division symbol.
Step 3: Let us subtract and bring down the next term.
Step 4: Repeating steps 1, 2, 3 until there are no terms to bring down, we get
As we can see from the long division method that, the remainder is x+2. Comparing it with ax+b we can see that a = 1 and b = 2. So required values of a and b are 1 and 2 respectively.
So, the correct answer is “Option A”.
Note: Students can make mistakes of signs in these sums. They can get confused between quotient and remainder. Remember that, division is in the form of $Di\overset{Q}{\overline{\left){\begin{align}
& D \\
& \overline{R} \\
\end{align}}\right.}}$ where Di is divisor, D is dividend, Q is quotient and R is remainder. Before starting the division make sure that dividend is in descending order. Put the 0 for missing power of x to evaluate easily. Make sure that the degree of remainder is less than the degree of the divisor otherwise we need to proceed further.
Complete step by step answer:
We are given the polynomial as $\left( 6{{x}^{4}}+8{{x}^{3}}+17{{x}^{2}}+21x+7 \right)$ and $\left( 3{{x}^{2}}+4x+1 \right)$. For dividing them, let us use the following steps.
Step 1: Let us make sure that, polynomial is written in descending order. Now let us divide the term with highest power inside the division symbol by the term with the highest power outside the division symbol.
Step 2: Let us multiply the answer obtained in the previous step by the polynomial in front of the division symbol.
Step 3: Let us subtract and bring down the next term.
Step 4: Repeating steps 1, 2, 3 until there are no terms to bring down, we get
As we can see from the long division method that, the remainder is x+2. Comparing it with ax+b we can see that a = 1 and b = 2. So required values of a and b are 1 and 2 respectively.
So, the correct answer is “Option A”.
Note: Students can make mistakes of signs in these sums. They can get confused between quotient and remainder. Remember that, division is in the form of $Di\overset{Q}{\overline{\left){\begin{align}
& D \\
& \overline{R} \\
\end{align}}\right.}}$ where Di is divisor, D is dividend, Q is quotient and R is remainder. Before starting the division make sure that dividend is in descending order. Put the 0 for missing power of x to evaluate easily. Make sure that the degree of remainder is less than the degree of the divisor otherwise we need to proceed further.
Recently Updated Pages
Complete reduction of benzene diazonium chloride with class 12 chemistry CBSE

How can you identify optical isomers class 12 chemistry CBSE

The coating formed on the metals such as iron silver class 12 chemistry CBSE

Metals are refined by using different methods Which class 12 chemistry CBSE

What do you understand by denaturation of proteins class 12 chemistry CBSE

Assertion Nitrobenzene is used as a solvent in FriedelCrafts class 12 chemistry CBSE

Trending doubts
Difference Between Plant Cell and Animal Cell

Fill the blanks with the suitable prepositions 1 The class 9 english CBSE

Which places in India experience sunrise first and class 9 social science CBSE

What is pollution? How many types of pollution? Define it

Name 10 Living and Non living things class 9 biology CBSE

What is the full form of pH?

