
Polymer of $ 2 - methyl - 1,3 - butadiene(isoprene) $ would give which product on (reductive) ozonolysis?
$ A)C{H_3} - CH\left( {CHO} \right) - CO - C{H_3} $
$ B)OHC - C{H_2} - C{H_2} - CO - C{H_3} $
$ C)OHC - C{H_2} - C{H_2} - C{H_2} - CHO $
$ D)C{H_3} - CO - C{H_2} - CO - C{H_3} $
Answer
500.4k+ views
Hint :Isoprene is the common name of $ 2 - methyl - 1,3 - butadiene $ , the polymer of isoprene undergoes reductive ozonolysis the double bonds are reduced to produce carbonyl compounds i.e.., aldehydes and ketones. Thus, double bonds are reduced to aldehydes and ketones.
Complete Step By Step Answer:
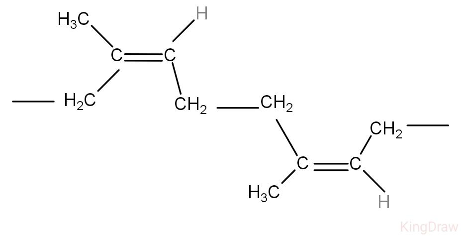
Given molecule is isoprene. The chemical name of isoprene is $ 2 - methyl - 1,3 - butadiene $ . It has two double bonds and one methyl substituent at $ {2^{nd}} $ carbon.
The polymer of isoprene is natural rubber. The structure of natural rubber will be as follows:
The above molecule is the polymer of isoprene, it has double bonds at two positions. Ozonolysis is the addition of ozone molecules to unsaturated compounds like alkenes and alkynes that form carbonyl compounds.
The cleavage of C-C bond also takes place in some conditions. Ozonolysis can also be reductive which means that after the reaction with ozone the unsaturated compounds forms ozonide, ozonide is a complex in which the three atoms of oxygen form a complex with the unsaturated compounds. further on treating metal like Zinc forms carbonyl compounds. In this molecule of natural rubber, the double bonds get reduced to carbonyl compounds, one gets reduced to aldehydes and the other gets reduced to ketone. The product formed is $ 4 - oxapen\tan al $ .
Note :
The polymer of isoprene is different from the isoprene, the double bonded carbon can be converted into the carbonyl compound the aldehyde and ketone are different and one should not confuse it with the formation of ketone and aldehyde.
Complete Step By Step Answer:
Given molecule is isoprene. The chemical name of isoprene is $ 2 - methyl - 1,3 - butadiene $ . It has two double bonds and one methyl substituent at $ {2^{nd}} $ carbon.
The polymer of isoprene is natural rubber. The structure of natural rubber will be as follows:
The above molecule is the polymer of isoprene, it has double bonds at two positions. Ozonolysis is the addition of ozone molecules to unsaturated compounds like alkenes and alkynes that form carbonyl compounds.
The cleavage of C-C bond also takes place in some conditions. Ozonolysis can also be reductive which means that after the reaction with ozone the unsaturated compounds forms ozonide, ozonide is a complex in which the three atoms of oxygen form a complex with the unsaturated compounds. further on treating metal like Zinc forms carbonyl compounds. In this molecule of natural rubber, the double bonds get reduced to carbonyl compounds, one gets reduced to aldehydes and the other gets reduced to ketone. The product formed is $ 4 - oxapen\tan al $ .
Note :
The polymer of isoprene is different from the isoprene, the double bonded carbon can be converted into the carbonyl compound the aldehyde and ketone are different and one should not confuse it with the formation of ketone and aldehyde.
Recently Updated Pages
Which cell organelles are present in white blood C class 11 biology CBSE

What is the molecular geometry of BrF4 A square planar class 11 chemistry CBSE

How can you explain that CCl4 has no dipole moment class 11 chemistry CBSE

Which will undergo SN2 reaction fastest among the following class 11 chemistry CBSE

The values of mass m for which the 100 kg block does class 11 physics CBSE

Why are voluntary muscles called striated muscles class 11 biology CBSE

Trending doubts
Which are the Top 10 Largest Countries of the World?

What are the major means of transport Explain each class 12 social science CBSE

Draw a labelled sketch of the human eye class 12 physics CBSE

Draw the diagram showing the germination of pollen class 12 biology CBSE

Differentiate between insitu conservation and exsitu class 12 biology CBSE

The computer jargonwwww stands for Aworld wide web class 12 physics CBSE

