
o – Xylene on ozonolysis will give –
(A) Dimethyl glyoxal + Glyoxal
(B) Dimethyl glyoxal + Methylglyoxal
(C) Glyoxal + Methylglyoxal
(D) Dimethyl glyoxal + Methylglyoxal + Glyoxal
Answer
589.5k+ views
Hint: Ozonolysis gives a product in which the double bonds are replaced with an ozone molecule. Zn + ${{H}_{2}}O$ is a reducing agent. It causes the molecule to break off at the places where there is a carbon-oxygen-carbon bond. o – Xylene has 2 resonance structures. Hence, the products of ozonolysis of each structure will be different.
Complete answer:
- Ozonolysis is an organic reaction in which the oxidative cleavage of an unsaturated bond in a compound occurs when reacted with ozone. The end product will be an organic compound in which multiple carbon – carbon bonds have been replaced with bonds to oxygen.
- This product will then be treated with Zn + ${{H}_{2}}O$ which is a reducing agent. It causes the molecule to break off at the places where there is a carbon-oxygen-carbon bond.
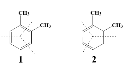
- ortho Xylene actually has 2 resonance structures. One in which one of the pi bonds of benzene is in between the carbon atoms containing the alkyl groups, and the other in which there is no pi bond in between those carbon atoms.
- Hence ozonolysis can occur and lead to breaking off of bonds in 2 different ways as shown-
- Let us now see what will be the products of ozonolysis of each resonance structure of ortho Xylene.
- The first resonance structure (1) will lead to the formation of 2 molecules of methyl glyoxal and one molecule of glyoxal.
- The second resonance structure (2) will lead to the formation of 2 molecules of glyoxal and one molecule of dimethyl glyoxal.
- Hence, we can conclude that the products of ozonolysis of ortho Xylene will be Dimethyl glyoxal, Methylglyoxal and Glyoxal.
- Therefore, the answer will be option (D) Dimethyl glyoxal + Methylglyoxal + Glyoxal.
Note: It is important that you consider both the resonance structures of ortho Xylene while writing its products for ozonolysis reaction. If you consider only one of the resonance structures, you will get only 2 products. The answer will be incorrect as there are a total of 3 products in this reaction.
Complete answer:
- Ozonolysis is an organic reaction in which the oxidative cleavage of an unsaturated bond in a compound occurs when reacted with ozone. The end product will be an organic compound in which multiple carbon – carbon bonds have been replaced with bonds to oxygen.
- This product will then be treated with Zn + ${{H}_{2}}O$ which is a reducing agent. It causes the molecule to break off at the places where there is a carbon-oxygen-carbon bond.
- ortho Xylene actually has 2 resonance structures. One in which one of the pi bonds of benzene is in between the carbon atoms containing the alkyl groups, and the other in which there is no pi bond in between those carbon atoms.
- Hence ozonolysis can occur and lead to breaking off of bonds in 2 different ways as shown-
- Let us now see what will be the products of ozonolysis of each resonance structure of ortho Xylene.
- The first resonance structure (1) will lead to the formation of 2 molecules of methyl glyoxal and one molecule of glyoxal.
- Therefore, the answer will be option (D) Dimethyl glyoxal + Methylglyoxal + Glyoxal.
Note: It is important that you consider both the resonance structures of ortho Xylene while writing its products for ozonolysis reaction. If you consider only one of the resonance structures, you will get only 2 products. The answer will be incorrect as there are a total of 3 products in this reaction.
Recently Updated Pages
The number of solutions in x in 02pi for which sqrt class 12 maths CBSE

Write any two methods of preparation of phenol Give class 12 chemistry CBSE

Differentiate between action potential and resting class 12 biology CBSE

Two plane mirrors arranged at right angles to each class 12 physics CBSE

Which of the following molecules is are chiral A I class 12 chemistry CBSE

Name different types of neurons and give one function class 12 biology CBSE

Trending doubts
Which are the Top 10 Largest Countries of the World?

What are the major means of transport Explain each class 12 social science CBSE

Draw a labelled sketch of the human eye class 12 physics CBSE

Differentiate between insitu conservation and exsitu class 12 biology CBSE

The computer jargonwwww stands for Aworld wide web class 12 physics CBSE

State the principle of an ac generator and explain class 12 physics CBSE

