
Name two reagents used for acylation of benzene.
Answer
556.8k+ views
Hint: Acylation is the substitution of an acyl group into an organic compound. In case of benzene, the acyl group is substituted into the benzene ring. This reaction is also known as Friedel-Crafts acylation of Benzene.
Complete step by step answer:
Acylation involves the substitution of an acyl group into an organic compound. The acyl group is an alkyl group that possesses a carbon-oxygen double bond. The general formula of an acyl group is \[RCO - \] where R is an alkyl group. \[C{H_3}CO - \] is the most commonly used acyl group. It is also known as ethanoyl group. In the acylation of benzene, \[C{H_3}CO - \] is getting substituted into the ring.
\[C{H_3}COCl\] is the most reactive substance that contains an acyl group. It is commonly known as acyl chloride or acid chloride.
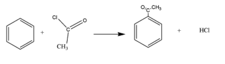
Benzene ring is reacted with a mixture of ethanoyl chloride \[C{H_3}COCl\] and \[AlC{l_3}\] (aluminium chloride) that acts as a catalyst. The product formed is a ketone called phenylethanone.
The reaction is as follows:
\[{C_6}{H_6} + C{H_3}COCl \to {C_6}{H_5}COCl + HCl\]
Or
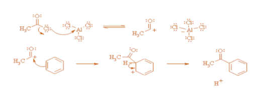
This reaction is an example of an electrophilic substitution reaction. The electrophile is \[C{H_3}C{O^ + }\] that is produced by the reaction of ethanoyl chloride and aluminium chloride.
The reaction is as follows:
\[C{H_3}COCl + AlC{l_3} \to C{H_3}C{O^ + } + AlC{l_4}^ - \]
The electrophilic substitution mechanism is:
Hence, the two reagents used in the acylation of benzene is ethanoyl chloride \[C{H_3}COCl\] and aluminium chloride \[AlC{l_3}\]
Note: A student can get confused between acylation and alkylation. Alkylation is the transfer of an alkyl group from one compound to another. A student can also get confused between electrophilic substitution and nucleophilic substitution. Electrophilic substitution involves the displacement of a functional group by an electrophile, i.e., hydrogen whereas nucleophilic substitution involves the attack of a positively charged atom by a nucleophile.
Complete step by step answer:
Acylation involves the substitution of an acyl group into an organic compound. The acyl group is an alkyl group that possesses a carbon-oxygen double bond. The general formula of an acyl group is \[RCO - \] where R is an alkyl group. \[C{H_3}CO - \] is the most commonly used acyl group. It is also known as ethanoyl group. In the acylation of benzene, \[C{H_3}CO - \] is getting substituted into the ring.
\[C{H_3}COCl\] is the most reactive substance that contains an acyl group. It is commonly known as acyl chloride or acid chloride.
Benzene ring is reacted with a mixture of ethanoyl chloride \[C{H_3}COCl\] and \[AlC{l_3}\] (aluminium chloride) that acts as a catalyst. The product formed is a ketone called phenylethanone.
The reaction is as follows:
\[{C_6}{H_6} + C{H_3}COCl \to {C_6}{H_5}COCl + HCl\]
Or
This reaction is an example of an electrophilic substitution reaction. The electrophile is \[C{H_3}C{O^ + }\] that is produced by the reaction of ethanoyl chloride and aluminium chloride.
The reaction is as follows:
\[C{H_3}COCl + AlC{l_3} \to C{H_3}C{O^ + } + AlC{l_4}^ - \]
The electrophilic substitution mechanism is:
Hence, the two reagents used in the acylation of benzene is ethanoyl chloride \[C{H_3}COCl\] and aluminium chloride \[AlC{l_3}\]
Note: A student can get confused between acylation and alkylation. Alkylation is the transfer of an alkyl group from one compound to another. A student can also get confused between electrophilic substitution and nucleophilic substitution. Electrophilic substitution involves the displacement of a functional group by an electrophile, i.e., hydrogen whereas nucleophilic substitution involves the attack of a positively charged atom by a nucleophile.
Recently Updated Pages
Master Class 11 Chemistry: Engaging Questions & Answers for Success

Master Class 11 Computer Science: Engaging Questions & Answers for Success

Master Class 11 Economics: Engaging Questions & Answers for Success

How many 5 digit telephone numbers can be constructed class 11 maths CBSE

Draw a well labelled diagram of reflex arc and explain class 11 biology CBSE

What is the difference between noise and music Can class 11 physics CBSE

Trending doubts
In what year Guru Nanak Dev ji was born A15 April 1469 class 11 social science CBSE

1 ton equals to A 100 kg B 1000 kg C 10 kg D 10000 class 11 physics CBSE

1 Quintal is equal to a 110 kg b 10 kg c 100kg d 1000 class 11 physics CBSE

Draw a diagram of a plant cell and label at least eight class 11 biology CBSE

What is the z value for a 90 95 and 99 percent confidence class 11 maths CBSE

Correct the following 1m1000cm class 11 physics CBSE

