
What is the monomer unit of natural rubber?
(A) Isoprene
(B) Ethene
(C) Neoprene
(D) Tetrafluoro ethene
Answer
563.1k+ views
Hint: To solve this question, we will refer to the polymeric and monomeric units, as we know that monomers are basically the building blocks of protein which forms the basic unit of polymers.
Complete answer:
We have been provided with natural rubber,
We need to find the monomer of natural rubber,
So, for that:
Firstly, we know that monomers are bind together to form a repeating long chain molecules,
This process is basically known as polymerization,
Now, we have been given the natural rubber,
So, we know that natural rubber is a polymer which means that it is a long chain like molecule that contains repeating subunits,
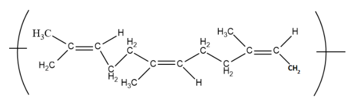
The structure of natural rubber is as follows:
We know that the chemical name of natural rubber is polyisoprene,
And the repeating units in polymer natural rubber is isoprene,
Isoprene is the monomer of the polymer natural rubber,
Isoprene is also known as 2-methyl-1,3-butadiene, which is a colourless volatile liquid, it is an unsaturated hydrocarbon,
So, we can say that the monomer of natural rubber is isoprene,
So, from this we can say that the correct option is (A).
Note:
isoprene or 2-methyl-1,3-butadiene has certain applications too, as it is a colourless, volatile liquid hydrocarbon obtained in processing petroleum or coal tar and used as a chemical raw material.
Complete answer:
We have been provided with natural rubber,
We need to find the monomer of natural rubber,
So, for that:
Firstly, we know that monomers are bind together to form a repeating long chain molecules,
This process is basically known as polymerization,
Now, we have been given the natural rubber,
So, we know that natural rubber is a polymer which means that it is a long chain like molecule that contains repeating subunits,
The structure of natural rubber is as follows:
We know that the chemical name of natural rubber is polyisoprene,
And the repeating units in polymer natural rubber is isoprene,
Isoprene is the monomer of the polymer natural rubber,
Isoprene is also known as 2-methyl-1,3-butadiene, which is a colourless volatile liquid, it is an unsaturated hydrocarbon,
So, we can say that the monomer of natural rubber is isoprene,
So, from this we can say that the correct option is (A).
Note:
isoprene or 2-methyl-1,3-butadiene has certain applications too, as it is a colourless, volatile liquid hydrocarbon obtained in processing petroleum or coal tar and used as a chemical raw material.
Recently Updated Pages
The number of solutions in x in 02pi for which sqrt class 12 maths CBSE

Write any two methods of preparation of phenol Give class 12 chemistry CBSE

Differentiate between action potential and resting class 12 biology CBSE

Two plane mirrors arranged at right angles to each class 12 physics CBSE

Which of the following molecules is are chiral A I class 12 chemistry CBSE

Name different types of neurons and give one function class 12 biology CBSE

Trending doubts
Which are the Top 10 Largest Countries of the World?

What are the major means of transport Explain each class 12 social science CBSE

Draw a labelled sketch of the human eye class 12 physics CBSE

Differentiate between insitu conservation and exsitu class 12 biology CBSE

The computer jargonwwww stands for Aworld wide web class 12 physics CBSE

State the principle of an ac generator and explain class 12 physics CBSE

