
What is the IUPAC name of Phloroglucinol?
A) \[Benzene - 1,3,5 - triol\]
B) $1,3,5 - trimethyl$ benzene
C) $2 - bromo - 4 - chloro - nitrobenzene$
D) $4 - chloro - 1,3 - dimethylbenzene$
Answer
543.9k+ views
Hint:The molecular formula for Phloroglucinol can be given as ${C_6}{H_6}{O_3}$ and it is a benzenetriol with hydroxyl groups attached to the $1,3,5$ positions of Benzene. Now, use the IUPAC nomenclature rules to find the IUPAC name of Phloroglucinol.
Complete step-by-step answer: The molecular formula of Phloroglucinol is ${C_6}{H_6}{O_3}$
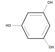
We can draw its structure as follows:
From the above picture, it is clear to us that the hydroxyl groups are present at $1,3,5$ positions.
The functional group present in this compound is Alcohol so the suffix would be ‘ol’ but there are three hydroxyl groups present so the suffix becomes ‘triol’.
Additional information: The organic compound Phloroglucinol is a colorless solid and is synthesized from Benzene trinitrate which is an explosive. It is termed as Polyphenol due to the presence of multiple hydroxyl groups attached to Benzene. It is also a weak triprotic acid.
Therefore, the IUPAC name of Phloroglucinol is $Benzene - 1,3,5 - triol$ i.e. option A.
Note:The given compound Phloroglucinol is an aromatic compound with the molecular formula ${C_6}{H_6}{O_3}$ . The IUPAC name for this compound is acquired by the IUPAC nomenclature rules. This compound consists of a benzene ring and three alcohol groups attached at $1,3,5$ positions.
Complete step-by-step answer: The molecular formula of Phloroglucinol is ${C_6}{H_6}{O_3}$
We can draw its structure as follows:
From the above picture, it is clear to us that the hydroxyl groups are present at $1,3,5$ positions.
The functional group present in this compound is Alcohol so the suffix would be ‘ol’ but there are three hydroxyl groups present so the suffix becomes ‘triol’.
Additional information: The organic compound Phloroglucinol is a colorless solid and is synthesized from Benzene trinitrate which is an explosive. It is termed as Polyphenol due to the presence of multiple hydroxyl groups attached to Benzene. It is also a weak triprotic acid.
Therefore, the IUPAC name of Phloroglucinol is $Benzene - 1,3,5 - triol$ i.e. option A.
Note:The given compound Phloroglucinol is an aromatic compound with the molecular formula ${C_6}{H_6}{O_3}$ . The IUPAC name for this compound is acquired by the IUPAC nomenclature rules. This compound consists of a benzene ring and three alcohol groups attached at $1,3,5$ positions.
Recently Updated Pages
Master Class 12 Social Science: Engaging Questions & Answers for Success

Master Class 12 Physics: Engaging Questions & Answers for Success

Master Class 12 Maths: Engaging Questions & Answers for Success

Master Class 12 Economics: Engaging Questions & Answers for Success

Master Class 12 Chemistry: Engaging Questions & Answers for Success

Master Class 12 Business Studies: Engaging Questions & Answers for Success

Trending doubts
What are the major means of transport Explain each class 12 social science CBSE

Which are the Top 10 Largest Countries of the World?

Draw a labelled sketch of the human eye class 12 physics CBSE

How much time does it take to bleed after eating p class 12 biology CBSE

Explain sex determination in humans with line diag class 12 biology CBSE

Plot a graph between potential difference V and current class 12 physics CBSE

