
What is the IUPAC name of $C{{l}_{2}}CHC{{H}_{2}}OH$?
(A) 2,2-Dichloro ethanol
(B) 2,2-Dichloro ethanol
(C) 2,2-Dual Chlorine ethanol
(D) 2,2-Chloro Chloro ethanol
Answer
576k+ views
Hint: Draw the expanded structure of the given compound to understand the bonding of halogen to the carbon atom. Try recalling the IUPAC conventions followed while naming a compound. The numbering of carbon atoms starts from the carbon atom having a functional group.
Complete step by step answer:
We will now write the expanded structure of the compound.
The above consists of 2 carbon atoms. The hydroxyl ($OH$) group gets more priority than the halogen functional group. So, the hydroxyl group becomes the main functional group and the halogen atoms are substituent groups.
The carbon having the hydroxyl group gets the number 1 and the carbon having halogen atoms gets number 2.
Since 2 chlorine atoms are attached to the second carbon, the prefix becomes 2,2-dichloro.
We will now write the complete name for the organic compound:
IUPAC name - 2,2-Dichloro ethanol.
So, the correct answer is “Option A”.
The International Union of Pure and Applied Chemistry is an international federation of National Adhering Organizations that represents chemists in the individual countries. IUPAC is registered in Zürich; Switzerland and its administrative office is called IUPAC secretariat.
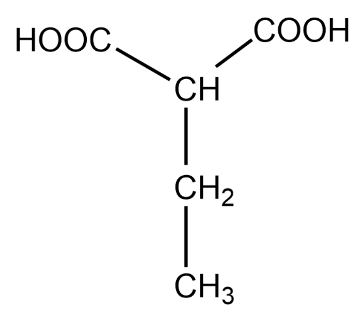
Note: In the above question it was easy to choose the longest carbon chain and the main functional group. However, when we have to choose between the main functional group and longest chain, we give priority to the functional group. The above explanation is shown below:
For the above organic compound, the IUPAC name is 2-ethylethan 1,3-dioic acid.
Complete step by step answer:
We will now write the expanded structure of the compound.
The above consists of 2 carbon atoms. The hydroxyl ($OH$) group gets more priority than the halogen functional group. So, the hydroxyl group becomes the main functional group and the halogen atoms are substituent groups.
The carbon having the hydroxyl group gets the number 1 and the carbon having halogen atoms gets number 2.
Since 2 chlorine atoms are attached to the second carbon, the prefix becomes 2,2-dichloro.
We will now write the complete name for the organic compound:
IUPAC name - 2,2-Dichloro ethanol.
So, the correct answer is “Option A”.
The International Union of Pure and Applied Chemistry is an international federation of National Adhering Organizations that represents chemists in the individual countries. IUPAC is registered in Zürich; Switzerland and its administrative office is called IUPAC secretariat.
Note: In the above question it was easy to choose the longest carbon chain and the main functional group. However, when we have to choose between the main functional group and longest chain, we give priority to the functional group. The above explanation is shown below:
For the above organic compound, the IUPAC name is 2-ethylethan 1,3-dioic acid.
Recently Updated Pages
The number of solutions in x in 02pi for which sqrt class 12 maths CBSE

Write any two methods of preparation of phenol Give class 12 chemistry CBSE

Differentiate between action potential and resting class 12 biology CBSE

Two plane mirrors arranged at right angles to each class 12 physics CBSE

Which of the following molecules is are chiral A I class 12 chemistry CBSE

Name different types of neurons and give one function class 12 biology CBSE

Trending doubts
Which are the Top 10 Largest Countries of the World?

What are the major means of transport Explain each class 12 social science CBSE

Draw a labelled sketch of the human eye class 12 physics CBSE

Differentiate between insitu conservation and exsitu class 12 biology CBSE

State the principle of an ac generator and explain class 12 physics CBSE

Differentiate between homogeneous and heterogeneous class 12 chemistry CBSE

