
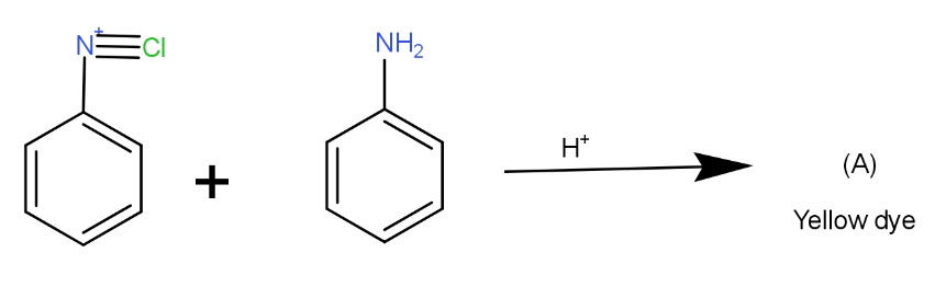
In the following reaction, the product (A) is :
a.)
b.)
c.)
d.)
Answer
578.1k+ views
Hint: This is a coupling reaction that includes the reaction between aniline and benzene diazonium salt to yield an azo compound which is yellow in colour. This is even the first azo dye. It is popularly known as organol yellow and sudan yellow R.
Complete answer:
This is an electrophilic substitution reaction.
First, let us see what is an electrophilic substitution reaction.
The substitution reaction is one in which an atom is replaced by an incoming group. And when the incoming group is an electrophile, the reaction is called electrophilic substitution reaction. It is further a coupling reaction.
The substrates given are diazonium salt and aniline.
The aniline couples with diazonium salt to form azo benzene. The coupling takes place at position para to the $N{H_2}$ group of benzene.
The reaction can be written as-
Thus, the correct answer is option d.).
Additional information:
The product formed here was involved in the 1981 Spanish Toxic oil syndrome. The unfavourable conditions found due to its use was pneumonia type illnesses, weight loss, paralysis and muscle wasting etc. Thus, it is considered toxic for consumption.
Note:
Aniline can be used in vital staining in microscopy. It also has applications in pyrotechnics for yellow coloured smokes, in yellow pigments and inks for inkjet printers. The other uses include in insecticides, varnishes, waxes, oil stains and styrene resins etc. It is even the intermediate in synthesis of other dyes.
Complete answer:
This is an electrophilic substitution reaction.
First, let us see what is an electrophilic substitution reaction.
The substitution reaction is one in which an atom is replaced by an incoming group. And when the incoming group is an electrophile, the reaction is called electrophilic substitution reaction. It is further a coupling reaction.
The substrates given are diazonium salt and aniline.
The aniline couples with diazonium salt to form azo benzene. The coupling takes place at position para to the $N{H_2}$ group of benzene.
The reaction can be written as-
Thus, the correct answer is option d.).
Additional information:
The product formed here was involved in the 1981 Spanish Toxic oil syndrome. The unfavourable conditions found due to its use was pneumonia type illnesses, weight loss, paralysis and muscle wasting etc. Thus, it is considered toxic for consumption.
Note:
Aniline can be used in vital staining in microscopy. It also has applications in pyrotechnics for yellow coloured smokes, in yellow pigments and inks for inkjet printers. The other uses include in insecticides, varnishes, waxes, oil stains and styrene resins etc. It is even the intermediate in synthesis of other dyes.
Recently Updated Pages
Master Class 12 Economics: Engaging Questions & Answers for Success

Master Class 12 Physics: Engaging Questions & Answers for Success

Master Class 12 English: Engaging Questions & Answers for Success

Master Class 12 Social Science: Engaging Questions & Answers for Success

Master Class 12 Maths: Engaging Questions & Answers for Success

Master Class 12 Business Studies: Engaging Questions & Answers for Success

Trending doubts
Which are the Top 10 Largest Countries of the World?

What are the major means of transport Explain each class 12 social science CBSE

Draw a labelled sketch of the human eye class 12 physics CBSE

Why cannot DNA pass through cell membranes class 12 biology CBSE

Differentiate between insitu conservation and exsitu class 12 biology CBSE

Draw a neat and well labeled diagram of TS of ovary class 12 biology CBSE

