
Identify the product A:
A.
B.
C.
D.
Answer
567k+ views
Hint: Trimethyl orthoformate is an organic compound which is represented by the formula $HC{{(OC{{H}_{3}})}_{3}}$. It is generally a colorless liquid and used as a reagent in organic synthesis for the formation of methyl esters.
Complete step by step answer:
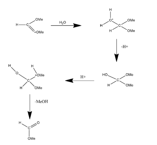
The reaction can be explained by the following mechanism:
In the first step $HC{{(OC{{H}_{3}})}_{3}}$ reacts with $HOH/{{H}^{+}}$ and the reaction can be shown as:
In this one $C{{H}_{3}}$ group is lost in the term of $MeOH$ and the lone pair present on that group gets transferred to other ion and forms double bond product and in the next step this product gets reacted with water molecules and reaction can be shown as:
This water molecule get attached with carbon atom and then loss of proton takes place and after that proton is added to the compound again by which it again loses its one methyl group in the form of $MeOH$ and the product form during this reaction is aldehyde in nature i.e. it forms aldehydic group.
In this way it forms this product which is already given in the reaction and other product can be defined by the following mechanism when reactant given is react with ${{H}^{+}}$ and then react with $MeOH$ and form the following product which further get reacted with ${{H}^{+}}$ and form water molecule which further loses and form double bond and this compound further reacted with $MeOH$ and forms the product given in the option B.
Hence we can say that option B is the correct answer.
Note: Trimethyl orthoformate can be prepared by the reaction between chloroform and sodium methoxide under the process named as williamson ether synthesis. If in the given reaction reactant is $CH{{(OEt)}_{3}}$ is this instead of $HC{{(OC{{H}_{3}})}_{3}}$ then major product will be ortho directing group.
Complete step by step answer:
The reaction can be explained by the following mechanism:
In the first step $HC{{(OC{{H}_{3}})}_{3}}$ reacts with $HOH/{{H}^{+}}$ and the reaction can be shown as:
In this one $C{{H}_{3}}$ group is lost in the term of $MeOH$ and the lone pair present on that group gets transferred to other ion and forms double bond product and in the next step this product gets reacted with water molecules and reaction can be shown as:
This water molecule get attached with carbon atom and then loss of proton takes place and after that proton is added to the compound again by which it again loses its one methyl group in the form of $MeOH$ and the product form during this reaction is aldehyde in nature i.e. it forms aldehydic group.
In this way it forms this product which is already given in the reaction and other product can be defined by the following mechanism when reactant given is react with ${{H}^{+}}$ and then react with $MeOH$ and form the following product which further get reacted with ${{H}^{+}}$ and form water molecule which further loses and form double bond and this compound further reacted with $MeOH$ and forms the product given in the option B.
Hence we can say that option B is the correct answer.
Note: Trimethyl orthoformate can be prepared by the reaction between chloroform and sodium methoxide under the process named as williamson ether synthesis. If in the given reaction reactant is $CH{{(OEt)}_{3}}$ is this instead of $HC{{(OC{{H}_{3}})}_{3}}$ then major product will be ortho directing group.
Recently Updated Pages
Master Class 12 Economics: Engaging Questions & Answers for Success

Master Class 12 Physics: Engaging Questions & Answers for Success

Master Class 12 English: Engaging Questions & Answers for Success

Master Class 12 Social Science: Engaging Questions & Answers for Success

Master Class 12 Maths: Engaging Questions & Answers for Success

Master Class 12 Business Studies: Engaging Questions & Answers for Success

Trending doubts
Which are the Top 10 Largest Countries of the World?

What are the major means of transport Explain each class 12 social science CBSE

Draw a labelled sketch of the human eye class 12 physics CBSE

Why cannot DNA pass through cell membranes class 12 biology CBSE

Differentiate between insitu conservation and exsitu class 12 biology CBSE

Draw a neat and well labeled diagram of TS of ovary class 12 biology CBSE

