
Give the correct structure for A and B for the reaction below:
Answer
532.5k+ views
Hint: This reaction is a Cannizaro named reaction in which if the substrate does not have alpha hydrogen the substrate gets oxidized and reduced at the same time and gives a product. Here we have substrate as benzaldehyde and formaldehyde, both don’t have alpha hydrogens thus they will give Cannizaro reaction.
Complete step-by-step answer:In Cannizaro reaction, the substrate which will not have alpha hydrogen will react in the presence of concentrated sodium hydroxide and gives it’s oxidized and reduced form. We can use any other strong alkali in place of sodium hydroxide also. If we have aldehyde or ketone then its oxidized form is carboxylic acid while reduced form is alcohol.
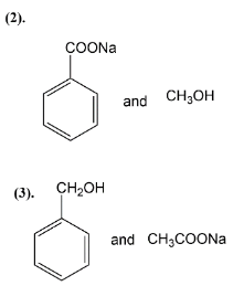
In the above reaction benzaldehyde will react with concentrated sodium hydroxide and give benzyl alcohol which is its reduced form and on the other hand formaldehyde will get oxidized and give sodium salt of carboxylic acid.
The happening of reaction is a concerted step where there is transfer of a hydrogen atom from one group to another group. At last as we get sodium salt of carboxylic acid on further hydrolysis we get carboxylic acid. These types of named reactions are very important because the chances of mistakes are high in predicting the reaction.
Let’s see the reaction here,
Option $(1)$ is correct.
Note: When the substrate has alpha hydrogen it will react and give $\alpha ,\beta - \text{unsaturated hydroxyl compound}$. Thus the availability of hydrogen just next to the carbonyl group is important. The aldol condensation reaction goes through a carbanion formation which will further react with another molecule of carbonyl compound and attack as a nucleophile on the electrophilic center of the compound.
Complete step-by-step answer:In Cannizaro reaction, the substrate which will not have alpha hydrogen will react in the presence of concentrated sodium hydroxide and gives it’s oxidized and reduced form. We can use any other strong alkali in place of sodium hydroxide also. If we have aldehyde or ketone then its oxidized form is carboxylic acid while reduced form is alcohol.
In the above reaction benzaldehyde will react with concentrated sodium hydroxide and give benzyl alcohol which is its reduced form and on the other hand formaldehyde will get oxidized and give sodium salt of carboxylic acid.
The happening of reaction is a concerted step where there is transfer of a hydrogen atom from one group to another group. At last as we get sodium salt of carboxylic acid on further hydrolysis we get carboxylic acid. These types of named reactions are very important because the chances of mistakes are high in predicting the reaction.
Let’s see the reaction here,
Option $(1)$ is correct.
Note: When the substrate has alpha hydrogen it will react and give $\alpha ,\beta - \text{unsaturated hydroxyl compound}$. Thus the availability of hydrogen just next to the carbonyl group is important. The aldol condensation reaction goes through a carbanion formation which will further react with another molecule of carbonyl compound and attack as a nucleophile on the electrophilic center of the compound.
Recently Updated Pages
A man running at a speed 5 ms is viewed in the side class 12 physics CBSE

The number of solutions in x in 02pi for which sqrt class 12 maths CBSE

State and explain Hardy Weinbergs Principle class 12 biology CBSE

Write any two methods of preparation of phenol Give class 12 chemistry CBSE

Which of the following statements is wrong a Amnion class 12 biology CBSE

Differentiate between action potential and resting class 12 biology CBSE

Trending doubts
What are the major means of transport Explain each class 12 social science CBSE

Which are the Top 10 Largest Countries of the World?

Draw a labelled sketch of the human eye class 12 physics CBSE

How much time does it take to bleed after eating p class 12 biology CBSE

Explain sex determination in humans with line diag class 12 biology CBSE

Explain sex determination in humans with the help of class 12 biology CBSE

