
For nitromethane molecule, write structures (I) showing significant resonance
stabilization
(ii) Indicating tautomerism
Answer
552.6k+ views
Hint: Resonance structures are a set of two or more Lewis Structures that collectively describe the electronic bonding of a single polyatomic species including fractional bonds and fractional charges.
Complete Step by step answer: Resonance structures are capable of describing delocalized electrons that cannot be expressed by a single Lewis formula with an integer number of covalent bonds.
A molecule or ion with such delocalized electrons is represented by several contributing structures
Tautomerization is moving around bonds while resonance is only moving around electrons. Technically two resonance structures are not two different structures.
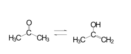
The most popular tautomerization is the enol and keto tautomers. With this type of tautomerization, we use a ketone or a molecule with a carbon double bonded to an oxygen. Although we typically show ketones in this manner, in reality, a solution of ketones will be switching back and forth in rapid equilibrium with another form, the enol. The enol moves a hydrogen from the alpha carbon onto the oxygen, moving the carbon-oxygen double bond to a carbon-carbon double bond.
Note: whenever the structure of a molecule cannot be represented by a single structure, but a combination of two or three structures in which there is distribution of charges on different molecules in different structures, the molecule is said to exhibit resonance. Resonance is a way of describing delocalized electrons within certain molecules or polyatomic ions where the bonding cannot be expressed by a single Lewis formula.
Complete Step by step answer: Resonance structures are capable of describing delocalized electrons that cannot be expressed by a single Lewis formula with an integer number of covalent bonds.
A molecule or ion with such delocalized electrons is represented by several contributing structures
Tautomerization is moving around bonds while resonance is only moving around electrons. Technically two resonance structures are not two different structures.
The most popular tautomerization is the enol and keto tautomers. With this type of tautomerization, we use a ketone or a molecule with a carbon double bonded to an oxygen. Although we typically show ketones in this manner, in reality, a solution of ketones will be switching back and forth in rapid equilibrium with another form, the enol. The enol moves a hydrogen from the alpha carbon onto the oxygen, moving the carbon-oxygen double bond to a carbon-carbon double bond.
Note: whenever the structure of a molecule cannot be represented by a single structure, but a combination of two or three structures in which there is distribution of charges on different molecules in different structures, the molecule is said to exhibit resonance. Resonance is a way of describing delocalized electrons within certain molecules or polyatomic ions where the bonding cannot be expressed by a single Lewis formula.
Recently Updated Pages
Why are manures considered better than fertilizers class 11 biology CBSE

Find the coordinates of the midpoint of the line segment class 11 maths CBSE

Distinguish between static friction limiting friction class 11 physics CBSE

The Chairman of the constituent Assembly was A Jawaharlal class 11 social science CBSE

The first National Commission on Labour NCL submitted class 11 social science CBSE

Number of all subshell of n + l 7 is A 4 B 5 C 6 D class 11 chemistry CBSE

Trending doubts
What is meant by exothermic and endothermic reactions class 11 chemistry CBSE

10 examples of friction in our daily life

One Metric ton is equal to kg A 10000 B 1000 C 100 class 11 physics CBSE

1 Quintal is equal to a 110 kg b 10 kg c 100kg d 1000 class 11 physics CBSE

Difference Between Prokaryotic Cells and Eukaryotic Cells

What are Quantum numbers Explain the quantum number class 11 chemistry CBSE

