
Explain Kolbe’s reaction with one example.
Answer
513.1k+ views
Hint: The reaction given in the question is one of the most important named reactions in organic chemistry. It is widely used in the synthesis of salicylic acid and its derivatives.
Complete step by step answer:
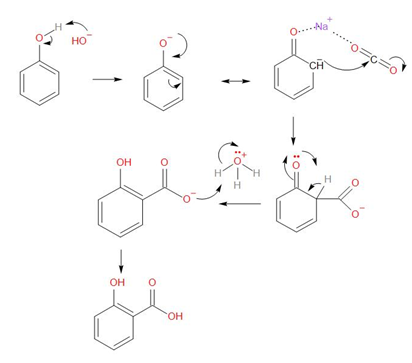
Kolbe’s reaction, also known as Kolbe-Schmitt reaction is a very important reaction in organic chemistry. It is a reaction for the synthesis of salicylic acid and its derivatives by carboxylation of phenols in a basic solution.
The Reaction for Kolbe’s reaction is given below –
\[\xrightarrow[NaOH]{C{{O}_{2}}}\]
\[\xrightarrow{{{H}_{2}}S{{O}_{4}}}\]
The detailed mechanism of this reaction is as follows –
As we can see, the given reaction is an example of Nucleophilic addition, where there is a Nucleophilic addition of sodium phenoxide to carbon dioxide gas to form the sodium salicylate in the mechanism. This reaction takes place under these conditions –
• Temperature = 400K
• Pressure = 4 - 7 atm.
Sodium salicylate on further reaction in an acidic medium gives salicylic acid.
Additional information: Sodium salicylate is not the only product in the reaction, it is the major product. The by-products produced are very small in quantity, so we don’t take it into account.
Note: To define Kolbe’s reaction, you can write, “When phenol is treated with sodium hydroxide, sodium phenoxide is produced. This sodium phenoxide when treated with carbon dioxide, followed by acidification, undergoes electrophilic substitution to give ortho-hydroxybenzoic acid as the main product. This reaction is known as Kolbe's reaction”.
Complete step by step answer:
Kolbe’s reaction, also known as Kolbe-Schmitt reaction is a very important reaction in organic chemistry. It is a reaction for the synthesis of salicylic acid and its derivatives by carboxylation of phenols in a basic solution.
The Reaction for Kolbe’s reaction is given below –
The detailed mechanism of this reaction is as follows –
As we can see, the given reaction is an example of Nucleophilic addition, where there is a Nucleophilic addition of sodium phenoxide to carbon dioxide gas to form the sodium salicylate in the mechanism. This reaction takes place under these conditions –
• Temperature = 400K
• Pressure = 4 - 7 atm.
Sodium salicylate on further reaction in an acidic medium gives salicylic acid.
Additional information: Sodium salicylate is not the only product in the reaction, it is the major product. The by-products produced are very small in quantity, so we don’t take it into account.
Note: To define Kolbe’s reaction, you can write, “When phenol is treated with sodium hydroxide, sodium phenoxide is produced. This sodium phenoxide when treated with carbon dioxide, followed by acidification, undergoes electrophilic substitution to give ortho-hydroxybenzoic acid as the main product. This reaction is known as Kolbe's reaction”.
Recently Updated Pages
A man running at a speed 5 ms is viewed in the side class 12 physics CBSE

The number of solutions in x in 02pi for which sqrt class 12 maths CBSE

State and explain Hardy Weinbergs Principle class 12 biology CBSE

Write any two methods of preparation of phenol Give class 12 chemistry CBSE

Which of the following statements is wrong a Amnion class 12 biology CBSE

Differentiate between action potential and resting class 12 biology CBSE

Trending doubts
What are the major means of transport Explain each class 12 social science CBSE

Which are the Top 10 Largest Countries of the World?

Draw a labelled sketch of the human eye class 12 physics CBSE

Explain sex determination in humans with line diag class 12 biology CBSE

Explain sex determination in humans with the help of class 12 biology CBSE

Differentiate between homogeneous and heterogeneous class 12 chemistry CBSE

