
What is the correct product in the given reaction?
Answer
556.8k+ views
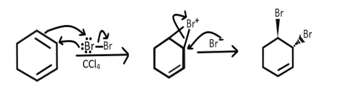
Hint: As we all know that bromine is much more soluble in chloroform than water so in bromination reaction when bromine interacts with chloroform a dipole-dipole interaction arises and bromine dissociates into cation and anion which acts as electrophile and nucleophile respectively.
Complete Step by step answer: We all know that bromine is much more soluble in chloroform than water so during bromination reaction when bromine interacts with chloroform a dipole-dipole interaction arises and bromine dissociates into cation and anion which acts as electrophile and nucleophile respectively.
This is an example of electrophilic addition reaction. As we know that when bromine reacts with double bonds containing compounds it results in reduction of these bonds and addition of bromine to both the carbons to give a dibromide compounds. Similarly when it will react with the given reactant then the formation of intermediate will take place and one bromine will be attached with the carbon atoms on first and second position and the remaining bromine will then act as a nucleophile and attack the carbon on second position leading to the formation of a dibromide compound, which we can show as the following:
Therefore the correct answer is (1).
Note: Benzene will only react with halogen in the presence of halogen carrier like $FeC{l_3}$ which acts as a catalyst but when benzene is reacted with $B{r_2}$/$CC{l_4}$ it will not form any product due to the delocalised electrons of benzene which are spread over all six atoms of carbon and thus has lower pi-electron density to polarise the bromine whereas a cyclohexane will react like a typical alkene with the bromine atoms when added across the double bond and take part in the electrophilic addition reaction like every other alkene. It also changes its orange colour when reacting with cyclohexane but when reacted with benzene bromine’s orange colour remains as such and no reaction takes place.
Complete Step by step answer: We all know that bromine is much more soluble in chloroform than water so during bromination reaction when bromine interacts with chloroform a dipole-dipole interaction arises and bromine dissociates into cation and anion which acts as electrophile and nucleophile respectively.
This is an example of electrophilic addition reaction. As we know that when bromine reacts with double bonds containing compounds it results in reduction of these bonds and addition of bromine to both the carbons to give a dibromide compounds. Similarly when it will react with the given reactant then the formation of intermediate will take place and one bromine will be attached with the carbon atoms on first and second position and the remaining bromine will then act as a nucleophile and attack the carbon on second position leading to the formation of a dibromide compound, which we can show as the following:
Therefore the correct answer is (1).
Note: Benzene will only react with halogen in the presence of halogen carrier like $FeC{l_3}$ which acts as a catalyst but when benzene is reacted with $B{r_2}$/$CC{l_4}$ it will not form any product due to the delocalised electrons of benzene which are spread over all six atoms of carbon and thus has lower pi-electron density to polarise the bromine whereas a cyclohexane will react like a typical alkene with the bromine atoms when added across the double bond and take part in the electrophilic addition reaction like every other alkene. It also changes its orange colour when reacting with cyclohexane but when reacted with benzene bromine’s orange colour remains as such and no reaction takes place.
Recently Updated Pages
Why are manures considered better than fertilizers class 11 biology CBSE

Find the coordinates of the midpoint of the line segment class 11 maths CBSE

Distinguish between static friction limiting friction class 11 physics CBSE

The Chairman of the constituent Assembly was A Jawaharlal class 11 social science CBSE

The first National Commission on Labour NCL submitted class 11 social science CBSE

Number of all subshell of n + l 7 is A 4 B 5 C 6 D class 11 chemistry CBSE

Trending doubts
1 Quintal is equal to a 110 kg b 10 kg c 100kg d 1000 class 11 physics CBSE

What is Environment class 11 chemistry CBSE

Bond order ofO2 O2+ O2 and O22 is in order A O2 langle class 11 chemistry CBSE

How many squares are there in a chess board A 1296 class 11 maths CBSE

Distinguish between verbal and nonverbal communica class 11 english CBSE

The equivalent weight of Mohrs salt FeSO4 NH42SO4 6H2O class 11 chemistry CBSE

