
Chlorobenzene is extremely less reactive towards a nucleophilic substitution reaction. Give reasons for the same.
Answer
564.9k+ views
Hint: We know that in a nucleophilic substitution reaction, a nucleophile attacks the positively charged atom, where nucleophile is an electron-rich species. Some examples of nucleophiles are hydroxide ion, cyanide ion, etc.
Complete answer:
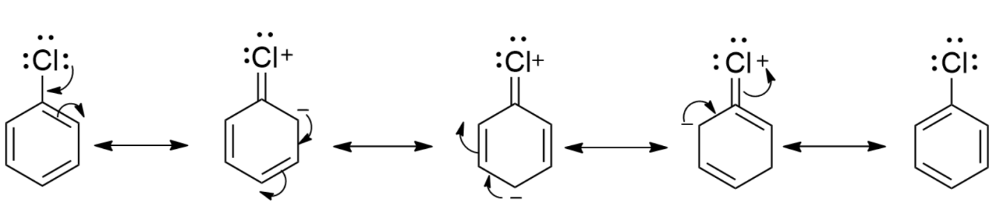
-The phenomenon in which delocalization of electrons causing the stabilization of molecules is known as
resonance.
-First, we will draw the resonance in chlorobenzene. The lone pair of chlorine atoms are delocalized in the benzene ring as-
-From the resonance structures of chlorobenzene, we see that the lone pair of chlorine electrons are delocalized in the benzene ring and four resonating structures are formed. This causes the stabilization of the molecule. So, the activation energy for the displacement of halogen from benzene is very much higher than the displacement of alkyl halide.
-In chlorobenzene, the halogen atom (Cl) is bonded to a highly electronegative $s{{p}^{2}}$hybridized carbon atom of the benzene ring. So, nucleophilic substitution in chlorobenzene is not possible.
-Hence, the reasons behind less reactivity of chlorobenzene towards nucleophilic substitution reactions are resonance in chlorobenzene and $s{{p}^{2}}$ hybridized nature of carbon atoms bonded to the chlorine atom
Additional information:
In a chemical reaction, replacement of one group by another is known as substitution reaction. Substitution reactions are of three types, viz. electrophilic, nucleophilic and radical substitution reaction. An electrophile is a chemical species possessing electron-deficient nature and a nucleophile is a species possessing electron-rich nature.
Note:
You may get confused between nucleophilic and electrophilic substitution reaction. In electrophilic substitution, an electrophile generally displaces hydrogen atom from a compound and in nucleophilic substitution, nucleophile attacks positively charged carbon.
Complete answer:
-The phenomenon in which delocalization of electrons causing the stabilization of molecules is known as
resonance.
-First, we will draw the resonance in chlorobenzene. The lone pair of chlorine atoms are delocalized in the benzene ring as-
-From the resonance structures of chlorobenzene, we see that the lone pair of chlorine electrons are delocalized in the benzene ring and four resonating structures are formed. This causes the stabilization of the molecule. So, the activation energy for the displacement of halogen from benzene is very much higher than the displacement of alkyl halide.
-In chlorobenzene, the halogen atom (Cl) is bonded to a highly electronegative $s{{p}^{2}}$hybridized carbon atom of the benzene ring. So, nucleophilic substitution in chlorobenzene is not possible.
-Hence, the reasons behind less reactivity of chlorobenzene towards nucleophilic substitution reactions are resonance in chlorobenzene and $s{{p}^{2}}$ hybridized nature of carbon atoms bonded to the chlorine atom
Additional information:
In a chemical reaction, replacement of one group by another is known as substitution reaction. Substitution reactions are of three types, viz. electrophilic, nucleophilic and radical substitution reaction. An electrophile is a chemical species possessing electron-deficient nature and a nucleophile is a species possessing electron-rich nature.
Note:
You may get confused between nucleophilic and electrophilic substitution reaction. In electrophilic substitution, an electrophile generally displaces hydrogen atom from a compound and in nucleophilic substitution, nucleophile attacks positively charged carbon.
Recently Updated Pages
A torch bulb is rated 5V and 500mA Calculate i its class 12 physics CBSE

Distinguish between closed circuit and open circuit class 12 physics CBSE

A license plate in 3 letters of English alphabets followed class 12 maths CBSE

In Youngs double slit experiment the two slits act class 12 physics CBSE

What does the Hymn Ek ONKAR SATNAM KARTA PURAKH NIRBHAU class 12 social science CBSE

Conversion of Acetic acid to Acetone class 12 chemistry CBSE

Trending doubts
What are the major means of transport Explain each class 12 social science CBSE

Which are the Top 10 Largest Countries of the World?

Draw a labelled sketch of the human eye class 12 physics CBSE

Explain sex determination in humans with line diag class 12 biology CBSE

The pH of the pancreatic juice is A 64 B 86 C 120 D class 12 biology CBSE

Explain sex determination in humans with the help of class 12 biology CBSE

