
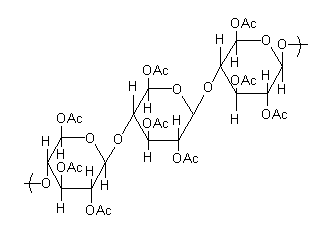
Cellulose upon acetylation with excess acetic anhydride/ ${{\text{H}}_{\text{2}}}{\text{S}}{{\text{O}}_{\text{4}}}$ (catalytic) gives cellulose triacetate whose structure is:
Answer
555k+ views
Hint: To answer this question we should know the structure of cellulose, its structural unit and bonding between structural units. Acetylation is the conversion of an alcoholic group into an acetyl group. So, we will draw the structure of the cellulose and then we will replace the every –OH group into acetyl group to obtain the structure of triacetate. As we obtain the triacetate so, we will draw only three structural units of cellulose.
Complete solution:
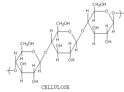
Cellulose is linear chains of $\beta $-D-glucose molecules linked together by$\beta - 1,4$glycosidic bonds. Cellulose has $\beta - 1,4$ linkage between glucose units. The cellulose is a linear molecule.
A general reaction of alcohol with acetic anhydride is shown as follows:
Acetic anhydride reacts with the alcoholic function group and converts the alcoholic function group into ester functional group. The –OH is known as an alcoholic functional group. The $ - {\text{OC(O}}) - $ is known as an ester functional group. During the conversion hydrogen of alcoholic group is replaced by ${\text{C}}{{\text{H}}_{\text{3}}}{\text{CO}} - $ group of acetic anhydride. The above reaction is known as acetylation because acetyl group ${\text{C}}{{\text{H}}_{\text{3}}}{\text{CO}} - $ is attaching with the reactant alcohol.
So, upon acetylation of cellulose with excess acetic anhydride/ ${{\text{H}}_{\text{2}}}{\text{S}}{{\text{O}}_{\text{4}}}$ (catalytic) all the –OH group will convert into acetyl group.
As the cellulose contains a large number of glucose units but our product is triacetate. It means the alcohol group of three glucose units of cellulose is converted into acetyl group. As the acetic anhydride is in excess, all alcoholic groups of three glucose units of cellulose will convert into acetyl groups.
So, the structure of the product is,
Each glucose unit of cellulose has three alcoholic groups, so a total of nine alcoholic groups convert into acetyl to give triacetate. The above structure is triacetate of cellulose.
Therefore, option (A) is correct.
Note: The option (C) also has acetyl group in place of each –OH group but the given structure is not correct. Because the structure given in option (C) corresponds to the formation of cellulose by alpha-d-glucose whereas the cellulose has alpha-d-glucose. The difference between alpha and beta d-glucose is shown as follows:
Complete solution:
Cellulose is linear chains of $\beta $-D-glucose molecules linked together by$\beta - 1,4$glycosidic bonds. Cellulose has $\beta - 1,4$ linkage between glucose units. The cellulose is a linear molecule.
A general reaction of alcohol with acetic anhydride is shown as follows:
Acetic anhydride reacts with the alcoholic function group and converts the alcoholic function group into ester functional group. The –OH is known as an alcoholic functional group. The $ - {\text{OC(O}}) - $ is known as an ester functional group. During the conversion hydrogen of alcoholic group is replaced by ${\text{C}}{{\text{H}}_{\text{3}}}{\text{CO}} - $ group of acetic anhydride. The above reaction is known as acetylation because acetyl group ${\text{C}}{{\text{H}}_{\text{3}}}{\text{CO}} - $ is attaching with the reactant alcohol.
So, upon acetylation of cellulose with excess acetic anhydride/ ${{\text{H}}_{\text{2}}}{\text{S}}{{\text{O}}_{\text{4}}}$ (catalytic) all the –OH group will convert into acetyl group.
As the cellulose contains a large number of glucose units but our product is triacetate. It means the alcohol group of three glucose units of cellulose is converted into acetyl group. As the acetic anhydride is in excess, all alcoholic groups of three glucose units of cellulose will convert into acetyl groups.
So, the structure of the product is,
Each glucose unit of cellulose has three alcoholic groups, so a total of nine alcoholic groups convert into acetyl to give triacetate. The above structure is triacetate of cellulose.
Therefore, option (A) is correct.
Note: The option (C) also has acetyl group in place of each –OH group but the given structure is not correct. Because the structure given in option (C) corresponds to the formation of cellulose by alpha-d-glucose whereas the cellulose has alpha-d-glucose. The difference between alpha and beta d-glucose is shown as follows:
Recently Updated Pages
The number of solutions in x in 02pi for which sqrt class 12 maths CBSE

Write any two methods of preparation of phenol Give class 12 chemistry CBSE

Differentiate between action potential and resting class 12 biology CBSE

Two plane mirrors arranged at right angles to each class 12 physics CBSE

Which of the following molecules is are chiral A I class 12 chemistry CBSE

Name different types of neurons and give one function class 12 biology CBSE

Trending doubts
Which are the Top 10 Largest Countries of the World?

What are the major means of transport Explain each class 12 social science CBSE

Draw a labelled sketch of the human eye class 12 physics CBSE

Differentiate between insitu conservation and exsitu class 12 biology CBSE

State the principle of an ac generator and explain class 12 physics CBSE

Differentiate between homogeneous and heterogeneous class 12 chemistry CBSE

