
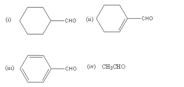
Cannizzaro reaction will be given by
A.(i), (ii) and (iii)
B. (i) and (ii)
C.(ii) and (iii)
D. (i) and (iv)
Answer
565.2k+ views
Hint: In the Cannizzaro reaction two aldehyde molecules undergo disproportionation. The aldehyde molecules that cannot undergo keto-enol tautomerism give the Cannizzaro reaction. Cannizzaro reaction takes place in the alkali solution.
Complete step by step answer:
In the Cannizzaro reaction, two aldehyde molecules react in presence of a base and form a carboxylic acid and alcohol.
The base attacks the carbonyl group of one alcohol molecule and forms a tetrahedral anion.
The tetrahedral anion forms acid and removes a hydride. This hydride attacks the carbonyl group of another aldehyde molecule.
Another anion abstract proton from acid and form alcohol and acid anion get proton from solvent water, so an acid and alcohol form.
In the Cannizzaro reaction, nucleophilic attacks take place on aldehyde, so the aldehyde having no alpha-hydrogen gives Cannizzaro reaction.
If the aldehyde has alpha-hydrogen, the aldehyde undergoes keto-enol tautomerism which decreases the electrophilicity of the carbonyl group, so the nucleophilic attacks decrease.
The keto-enol tautomerism is shown as follows:
Compound (i), cyclohexane carbaldehyde has alpha hydrogen, so it does not give Cannizzaro reaction.
Compound (ii), cyclohex$ - 1 - $ene carbaldehyde has no alpha hydrogen, so it gives Cannizzaro reaction.
Compound (iii), benzaldehyde has no alpha hydrogen, so it gives Cannizzaro reaction.
Compound (iv) acetaldehyde has alpha hydrogen, so it does not give Cannizzaro reaction.
So, compound (ii) and (iii) give a Cannizzaro reaction.
Therefore, option (C) (ii) and (iii) is correct.
Note:
The aldehyde having alpha-hydrogen can undergo keto-enol tautomerism. The double-bonded carbon in keto form is more electrophilic than the carbon bonded with the hydroxyl group in enol form. The alpha-hydrogen having aldehydes gives an aldol condensation reaction. The products of aldol condensation reaction are beta-hydroxy ketone and beta-hydroxy aldehyde.
Complete step by step answer:
In the Cannizzaro reaction, two aldehyde molecules react in presence of a base and form a carboxylic acid and alcohol.
The base attacks the carbonyl group of one alcohol molecule and forms a tetrahedral anion.
The tetrahedral anion forms acid and removes a hydride. This hydride attacks the carbonyl group of another aldehyde molecule.
Another anion abstract proton from acid and form alcohol and acid anion get proton from solvent water, so an acid and alcohol form.
In the Cannizzaro reaction, nucleophilic attacks take place on aldehyde, so the aldehyde having no alpha-hydrogen gives Cannizzaro reaction.
If the aldehyde has alpha-hydrogen, the aldehyde undergoes keto-enol tautomerism which decreases the electrophilicity of the carbonyl group, so the nucleophilic attacks decrease.
The keto-enol tautomerism is shown as follows:
Compound (i), cyclohexane carbaldehyde has alpha hydrogen, so it does not give Cannizzaro reaction.
Compound (ii), cyclohex$ - 1 - $ene carbaldehyde has no alpha hydrogen, so it gives Cannizzaro reaction.
Compound (iii), benzaldehyde has no alpha hydrogen, so it gives Cannizzaro reaction.
Compound (iv) acetaldehyde has alpha hydrogen, so it does not give Cannizzaro reaction.
So, compound (ii) and (iii) give a Cannizzaro reaction.
Therefore, option (C) (ii) and (iii) is correct.
Note:
The aldehyde having alpha-hydrogen can undergo keto-enol tautomerism. The double-bonded carbon in keto form is more electrophilic than the carbon bonded with the hydroxyl group in enol form. The alpha-hydrogen having aldehydes gives an aldol condensation reaction. The products of aldol condensation reaction are beta-hydroxy ketone and beta-hydroxy aldehyde.
Recently Updated Pages
Master Class 12 Business Studies: Engaging Questions & Answers for Success

Master Class 12 Economics: Engaging Questions & Answers for Success

Master Class 12 English: Engaging Questions & Answers for Success

Master Class 12 Maths: Engaging Questions & Answers for Success

Master Class 12 Social Science: Engaging Questions & Answers for Success

Master Class 12 Chemistry: Engaging Questions & Answers for Success

Trending doubts
What are the major means of transport Explain each class 12 social science CBSE

Which are the Top 10 Largest Countries of the World?

Draw a labelled sketch of the human eye class 12 physics CBSE

Explain sex determination in humans with line diag class 12 biology CBSE

The pH of the pancreatic juice is A 64 B 86 C 120 D class 12 biology CBSE

Explain sex determination in humans with the help of class 12 biology CBSE

