
Benzyne intermediate is not observed in:
Answer
558k+ views
Hint: Before solving the problem we should know the exact structure of Benzyne. So, Benzyne is basically an unstable intermediate. It has a structure almost similar to benzene with an exception that it possesses an additional pi bond.
Complete Step by step answer:
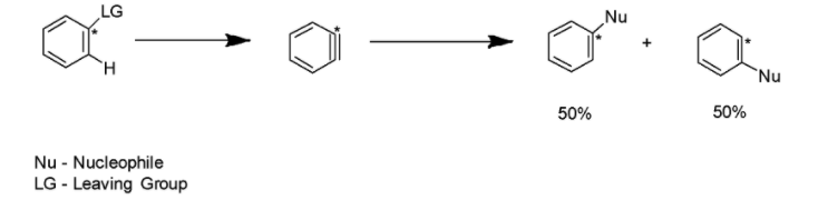
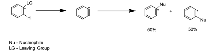
Benzyne, a very unstable intermediate, is generally attacked by the nucleophiles followed by the protonation to yield the final product. Benzyne intermediate may be attacked at any end. Thus, the characteristic loss of region-chemistry can result in the substitution. The mechanism has been mentioned below:
Now, let us discuss the occurrence of Benzyne intermediate one by one in each option given in the question. We will try to write down the possible reaction in each case.
Option A: Benzyne intermediate is observed in this case as shown in the reaction below:
Option B: Benzyne intermediate is not observed in this case. Actually in this case ortho- positions are attached with the alkyl groups so no reaction takes place under these conditions. A hydrogen is necessarily required at least at one of these places for the reaction to take place. So, after leaving the \[Cl - \]group, Benzyne does not form owing to the absence of hydrogen atom at next carbon.
Option C: Benzyne intermediate is observed in this case as shown in the reaction below:
Option D: Benzyne intermediate is observed in this case as shown in the reaction below:
Hence, the correct answer is Option B.
Note: Benzyne possesses an unstable sp2–sp2 π bent bond. It is mainly formed from the benzene and it is highly reactive. Therefore, it can never be the first or last step of the reaction. Hence, benzyne is rarely observed as a product in any reaction.
Complete Step by step answer:
Benzyne, a very unstable intermediate, is generally attacked by the nucleophiles followed by the protonation to yield the final product. Benzyne intermediate may be attacked at any end. Thus, the characteristic loss of region-chemistry can result in the substitution. The mechanism has been mentioned below:
Now, let us discuss the occurrence of Benzyne intermediate one by one in each option given in the question. We will try to write down the possible reaction in each case.
Option A: Benzyne intermediate is observed in this case as shown in the reaction below:
Option B: Benzyne intermediate is not observed in this case. Actually in this case ortho- positions are attached with the alkyl groups so no reaction takes place under these conditions. A hydrogen is necessarily required at least at one of these places for the reaction to take place. So, after leaving the \[Cl - \]group, Benzyne does not form owing to the absence of hydrogen atom at next carbon.
Option C: Benzyne intermediate is observed in this case as shown in the reaction below:
Option D: Benzyne intermediate is observed in this case as shown in the reaction below:
Hence, the correct answer is Option B.
Note: Benzyne possesses an unstable sp2–sp2 π bent bond. It is mainly formed from the benzene and it is highly reactive. Therefore, it can never be the first or last step of the reaction. Hence, benzyne is rarely observed as a product in any reaction.
Recently Updated Pages
Why are manures considered better than fertilizers class 11 biology CBSE

Find the coordinates of the midpoint of the line segment class 11 maths CBSE

Distinguish between static friction limiting friction class 11 physics CBSE

The Chairman of the constituent Assembly was A Jawaharlal class 11 social science CBSE

The first National Commission on Labour NCL submitted class 11 social science CBSE

Number of all subshell of n + l 7 is A 4 B 5 C 6 D class 11 chemistry CBSE

Trending doubts
Differentiate between an exothermic and an endothermic class 11 chemistry CBSE

10 examples of friction in our daily life

One Metric ton is equal to kg A 10000 B 1000 C 100 class 11 physics CBSE

Difference Between Prokaryotic Cells and Eukaryotic Cells

1 Quintal is equal to a 110 kg b 10 kg c 100kg d 1000 class 11 physics CBSE

State the laws of reflection of light

