
Why is Bakelite used for making electrical switches?
Answer
512.7k+ views
Hint: Let us first learn about Bakelite. Bakelite is a thermosetting plastic. It is a phenolic resin or a condensation polymer. It is made by the condensation reaction of phenol with formaldehyde forming a phenol-formaldehyde resin. It is the same chemical as polyox benzyl methylene glycol anhydride.
Complete step-by-step solution:
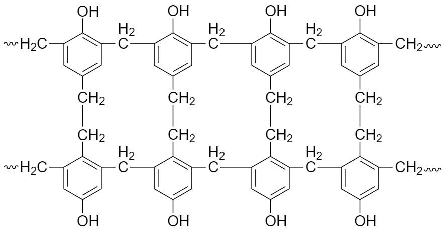
The structure of Bakelite is as follows
Bakelite is commonly named as the material having a thousand uses. This is because of its desirable properties like
1. It can be made into different bright colors even though it usually has amber or brown color.
2. Upon heating, it becomes malleable and liquefiable. But as soon as it cools, it becomes permanently rigid and hard and hence it is a thermosetting plastic.
3. It can be used to make various products as it can be easily molded.
4. It shows high resistance towards chemical action, electricity, and heat.
5. Its dielectric constant is in the range of 4.4 to 5.4.
Hence, due to its high resistance towards heat and electricity, it is a good insulator and can be used to make non-conducting parts of electrical devices like sockets and switches.
Note:
It should be noted that the properties like the strength of Bakelite can be enhanced using fillers such that it can be used for various things. Fillers like mica, gypsum, pulp, cotton, wood flour, asbestos, etc., can be added to molding resins like Bakelite. The enhancement in some of the properties are observed as follows
1. Increased strength and toughness
2. Better chemical, electrical and thermal resistance.
3. Enhanced moldability.
4. Color changes.
Complete step-by-step solution:
The structure of Bakelite is as follows
Bakelite is commonly named as the material having a thousand uses. This is because of its desirable properties like
1. It can be made into different bright colors even though it usually has amber or brown color.
2. Upon heating, it becomes malleable and liquefiable. But as soon as it cools, it becomes permanently rigid and hard and hence it is a thermosetting plastic.
3. It can be used to make various products as it can be easily molded.
4. It shows high resistance towards chemical action, electricity, and heat.
5. Its dielectric constant is in the range of 4.4 to 5.4.
Hence, due to its high resistance towards heat and electricity, it is a good insulator and can be used to make non-conducting parts of electrical devices like sockets and switches.
Note:
It should be noted that the properties like the strength of Bakelite can be enhanced using fillers such that it can be used for various things. Fillers like mica, gypsum, pulp, cotton, wood flour, asbestos, etc., can be added to molding resins like Bakelite. The enhancement in some of the properties are observed as follows
1. Increased strength and toughness
2. Better chemical, electrical and thermal resistance.
3. Enhanced moldability.
4. Color changes.
Recently Updated Pages
The number of solutions in x in 02pi for which sqrt class 12 maths CBSE

Write any two methods of preparation of phenol Give class 12 chemistry CBSE

Differentiate between action potential and resting class 12 biology CBSE

Two plane mirrors arranged at right angles to each class 12 physics CBSE

Which of the following molecules is are chiral A I class 12 chemistry CBSE

Name different types of neurons and give one function class 12 biology CBSE

Trending doubts
Which are the Top 10 Largest Countries of the World?

What are the major means of transport Explain each class 12 social science CBSE

Draw a labelled sketch of the human eye class 12 physics CBSE

Differentiate between insitu conservation and exsitu class 12 biology CBSE

State the principle of an ac generator and explain class 12 physics CBSE

Differentiate between homogeneous and heterogeneous class 12 chemistry CBSE

