
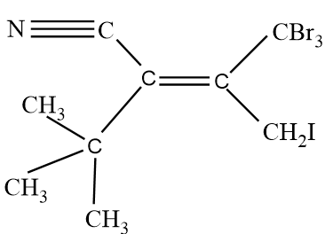
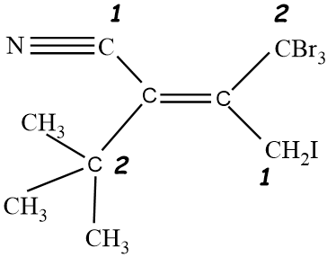
Assign E/Z configuration:
Answer
507.5k+ views
Hint: Groups around the double bond are assigned priority according to the Cahn-Ingold-Prelog-priority rules. E/Z is a type of geometrical isomer. Configuration is seen by the different spatial arrangement of atoms around the double bond.
Complete step by step answer:
Isomers are those which have the same molecular formula and have different spatial arrangements. Isomers are of two types, geometrical isomers and Optical isomers. Geometrical isomers are of three types- cis-trans, E-Z type, syn-anti isomers.
E/Z terminology is used when no same groups are present on the sides of a double bond. Then, on both the sides, groups are assigned priority according to Cahn-Ingold-Prelog-priority rules. So when groups of the same priority are on the same side, it is called Z type isomers ,and when groups of same priority are on different sides it is called E type isomers.
Priority is assigned according to their atomic number. The atom with higher atomic number is assigned high priority and atom with lower priority number.
So in the given molecule, On both sides of the double bond, we will analyse the atoms, and we will assign priority accordingly. On the left hand side, we have one CN molecule and $C{{(C{{H}_{3}})}_{3}}$ molecule. So going according to the CIP rule, We see that atomic number of Nitrogen Is higher than carbon, so group with CN molecule will get higher priority that is 1, and the other group with $C{{(C{{H}_{3}})}_{3}}$ will have lower priority that is 2. Same procedure will be done for the right hand side of the double bond. Since one group has Bromine and the other group have iodine alongside carbon. An atomic number of bromine is less than iodine, therefore, a group with Iodine will have higher priority that is 1 as compared to a group having bromine atoms. Groups with bromine atoms will be given 2 priority.
Now after allotting the priority, we see that groups with the same priority are on different sides, therefore it will be an Z type isomer.
So, the given compound is having Z configuration.
Note: Cis-trans terminology is used when there are two same types of groups attached on the sides of the double bond. When same groups are attached on adjacent sides, it is called cis isomer, and when same group is attached on different sides then it called trans isomer.
Complete step by step answer:
Isomers are those which have the same molecular formula and have different spatial arrangements. Isomers are of two types, geometrical isomers and Optical isomers. Geometrical isomers are of three types- cis-trans, E-Z type, syn-anti isomers.
E/Z terminology is used when no same groups are present on the sides of a double bond. Then, on both the sides, groups are assigned priority according to Cahn-Ingold-Prelog-priority rules. So when groups of the same priority are on the same side, it is called Z type isomers ,and when groups of same priority are on different sides it is called E type isomers.
Priority is assigned according to their atomic number. The atom with higher atomic number is assigned high priority and atom with lower priority number.
So in the given molecule, On both sides of the double bond, we will analyse the atoms, and we will assign priority accordingly. On the left hand side, we have one CN molecule and $C{{(C{{H}_{3}})}_{3}}$ molecule. So going according to the CIP rule, We see that atomic number of Nitrogen Is higher than carbon, so group with CN molecule will get higher priority that is 1, and the other group with $C{{(C{{H}_{3}})}_{3}}$ will have lower priority that is 2. Same procedure will be done for the right hand side of the double bond. Since one group has Bromine and the other group have iodine alongside carbon. An atomic number of bromine is less than iodine, therefore, a group with Iodine will have higher priority that is 1 as compared to a group having bromine atoms. Groups with bromine atoms will be given 2 priority.
Now after allotting the priority, we see that groups with the same priority are on different sides, therefore it will be an Z type isomer.
So, the given compound is having Z configuration.
Note: Cis-trans terminology is used when there are two same types of groups attached on the sides of the double bond. When same groups are attached on adjacent sides, it is called cis isomer, and when same group is attached on different sides then it called trans isomer.
Recently Updated Pages
A man running at a speed 5 ms is viewed in the side class 12 physics CBSE

The number of solutions in x in 02pi for which sqrt class 12 maths CBSE

State and explain Hardy Weinbergs Principle class 12 biology CBSE

Write any two methods of preparation of phenol Give class 12 chemistry CBSE

Which of the following statements is wrong a Amnion class 12 biology CBSE

Differentiate between action potential and resting class 12 biology CBSE

Trending doubts
What are the major means of transport Explain each class 12 social science CBSE

Which are the Top 10 Largest Countries of the World?

Draw a labelled sketch of the human eye class 12 physics CBSE

Explain sex determination in humans with line diag class 12 biology CBSE

Explain sex determination in humans with the help of class 12 biology CBSE

Differentiate between homogeneous and heterogeneous class 12 chemistry CBSE

