
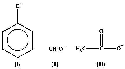
Arrange the following in their order of nucleophilicity in protic solvent.
A) i > ii > iii
B) iii > ii > i
C) ii > i > iii
D) None
Answer
549.9k+ views
Hint: We know that the ability of a nucleophile to react with an electron deficient compound is known as nucleophilicity. The electron withdrawing group decreases the nucleophilicity of an atom and the electron donating group increases the nucleophilicity of an atom.
Complete step-by-step answer:
We know that a species that donates a pair of electrons to form a chemical bond is known as a nucleophile. A solvent which contains hydrogen $\left( {{{\text{H}}^ + }} \right)$ ions is known as a protic solvent. In protic solvent, the positively charged hydrogen atom bonds with the negatively charged oxygen atom of the given compounds.
We are given three compounds.
Consider compound (i) – phenoxide ion: In the phenoxide ion, there is no conjugation for the pi-electrons of the benzene ring. Thus, the electron density on the negatively charged oxygen atom does not increase. The phenyl group is an electron withdrawing group which decreases the nucleophilicity of the negatively charged oxygen atom.
Consider compound (ii) – methoxide ion: In the methoxide ion, the methyl group is the electron donating group. The methyl group thus increases the nucleophilicity of the negatively charged oxygen atom. Thus, methoxide ion is more nucleophilic than phenoxide ion.
Consider compound (iii) – acetate ion: In the acetate ion, the methyl group is an electron donating group. The negatively charged oxygen atom increases the electron density around the carbonyl carbon Thus, the acetate ion is more nucleophilic than the phenoxide ion.
Thus, the order of nucleophilicity is as follows:
iii > ii > i
Thus, the correct option is (B) iii > ii > i.
Note: The hydrogen atom in protic solvents participates in hydrogen bonding. Thus, the nucleophiles easily attack the hydrogen atom. The factors affecting nucleophilicity are size, solvent and basicity.
Complete step-by-step answer:
We know that a species that donates a pair of electrons to form a chemical bond is known as a nucleophile. A solvent which contains hydrogen $\left( {{{\text{H}}^ + }} \right)$ ions is known as a protic solvent. In protic solvent, the positively charged hydrogen atom bonds with the negatively charged oxygen atom of the given compounds.
We are given three compounds.
Consider compound (i) – phenoxide ion: In the phenoxide ion, there is no conjugation for the pi-electrons of the benzene ring. Thus, the electron density on the negatively charged oxygen atom does not increase. The phenyl group is an electron withdrawing group which decreases the nucleophilicity of the negatively charged oxygen atom.
Consider compound (ii) – methoxide ion: In the methoxide ion, the methyl group is the electron donating group. The methyl group thus increases the nucleophilicity of the negatively charged oxygen atom. Thus, methoxide ion is more nucleophilic than phenoxide ion.
Consider compound (iii) – acetate ion: In the acetate ion, the methyl group is an electron donating group. The negatively charged oxygen atom increases the electron density around the carbonyl carbon Thus, the acetate ion is more nucleophilic than the phenoxide ion.
Thus, the order of nucleophilicity is as follows:
iii > ii > i
Thus, the correct option is (B) iii > ii > i.
Note: The hydrogen atom in protic solvents participates in hydrogen bonding. Thus, the nucleophiles easily attack the hydrogen atom. The factors affecting nucleophilicity are size, solvent and basicity.
Recently Updated Pages
A man running at a speed 5 ms is viewed in the side class 12 physics CBSE

State and explain Hardy Weinbergs Principle class 12 biology CBSE

Which of the following statements is wrong a Amnion class 12 biology CBSE

Two Planoconcave lenses 1 and 2 of glass of refractive class 12 physics CBSE

The compound 2 methyl 2 butene on reaction with NaIO4 class 12 chemistry CBSE

Bacterial cell wall is made up of A Cellulose B Hemicellulose class 12 biology CBSE

Trending doubts
What are the major means of transport Explain each class 12 social science CBSE

Which are the Top 10 Largest Countries of the World?

Draw a labelled sketch of the human eye class 12 physics CBSE

State the principle of an ac generator and explain class 12 physics CBSE

Sketch the electric field lines in case of an electric class 12 physics CBSE

Give 10 examples of unisexual and bisexual flowers

