
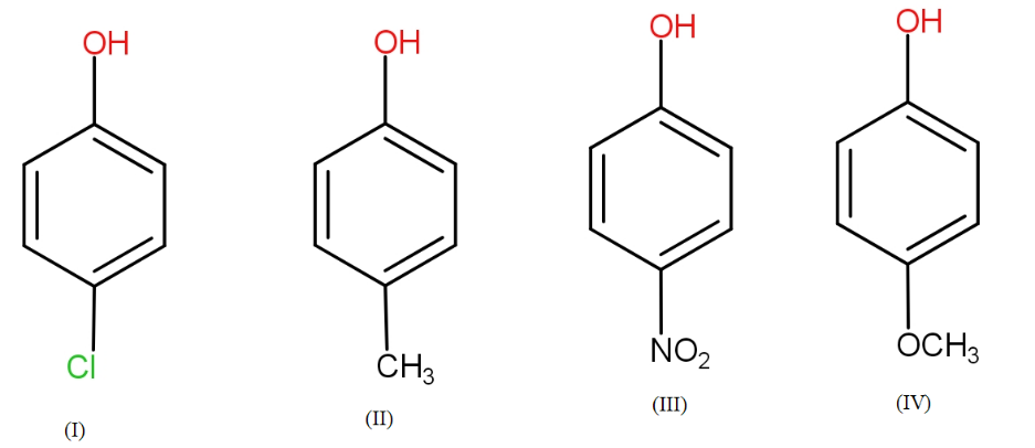
Arrange the following compounds in order of decreasing acidity :
a.) I > II > III > IV
b.) III > I > II > IV
c.) IV > III > I >II
d.) II > IV > I > III
Answer
513.2k+ views
Hint: The acidity is the measure of donation strength of proton. The electron releasing groups decrease the acidity while the electron donating groups increase the acidity of the molecule.
Here, the proton will be donated by OH group.
Complete step by step answer:
First, let us see what is acidity and how it is affected by the addition of groups.
The acidity can be defined as the measure of the capacity to donate ${H^ + }$ ions. The species which can donate the hydrogen ion easily are stronger acids while those that can not easily donate are weaker acids.
In above structures, we see that hydroxyl groups will donate the ${H^ + }$ ion. The other groups attached will have their effect on donation. All the groups attached are para to the hydroxyl group.
The ${H^ + }$ ion will be easily donated if the bonds between O-H are weak. If the electron is attracted by an oxygen atom, it will easily donate ${H^ + }$ ion.
Now, let us see the groups attached, how they affect the donation.
The electron releasing groups will give electrons and as a result, the electron density on oxygen will increase and thus, the ${H^ + }$ ion will be difficult to donate.
But the electron withdrawing groups will attract the electrons toward itself and thus reduce electron density on the oxygen atom. As a result, the electron density on oxygen atoms will decrease and hence the ${H^ + }$ ion will be easily donated.
The Cl group has both the effects. But overall it will withdraw electrons and thus will have electron withdrawing effect and thus, it will increase acidity in comparison to simple phenol.
The methyl group on the second molecule has electron donating effect (+I). So, it will decrease the acidity.
The third molecule has a nitro group which is a strong electron withdrawing group. So, it will increase the maximum acidity.
The fourth molecule has a methoxy group which has a strong electron releasing effect. Thus, it will decrease acidity.
Thus, on observation we say the decreasing order of acidity of the following compounds is -
III > I > II > IV
So, the correct answer is “Option B”.
Note: It must be noted that the electron releasing groups give the electrons. As a result, the electron density on oxygen increases. Because oxygen has a high electron density, it will not attract electrons from the O-H bond. So, the O-H bond will be strong and does not break.
While the electron withdrawing groups will attract electrons toward itself. Thus, the electron density on oxygen atom will decrease and as a result, the oxygen will attract electrons from the O-H bond thereby it will become weak. So, it will be easily donated.
Here, the proton will be donated by OH group.
Complete step by step answer:
First, let us see what is acidity and how it is affected by the addition of groups.
The acidity can be defined as the measure of the capacity to donate ${H^ + }$ ions. The species which can donate the hydrogen ion easily are stronger acids while those that can not easily donate are weaker acids.
In above structures, we see that hydroxyl groups will donate the ${H^ + }$ ion. The other groups attached will have their effect on donation. All the groups attached are para to the hydroxyl group.
The ${H^ + }$ ion will be easily donated if the bonds between O-H are weak. If the electron is attracted by an oxygen atom, it will easily donate ${H^ + }$ ion.
Now, let us see the groups attached, how they affect the donation.
The electron releasing groups will give electrons and as a result, the electron density on oxygen will increase and thus, the ${H^ + }$ ion will be difficult to donate.
But the electron withdrawing groups will attract the electrons toward itself and thus reduce electron density on the oxygen atom. As a result, the electron density on oxygen atoms will decrease and hence the ${H^ + }$ ion will be easily donated.
The Cl group has both the effects. But overall it will withdraw electrons and thus will have electron withdrawing effect and thus, it will increase acidity in comparison to simple phenol.
The methyl group on the second molecule has electron donating effect (+I). So, it will decrease the acidity.
The third molecule has a nitro group which is a strong electron withdrawing group. So, it will increase the maximum acidity.
The fourth molecule has a methoxy group which has a strong electron releasing effect. Thus, it will decrease acidity.
Thus, on observation we say the decreasing order of acidity of the following compounds is -
III > I > II > IV
So, the correct answer is “Option B”.
Note: It must be noted that the electron releasing groups give the electrons. As a result, the electron density on oxygen increases. Because oxygen has a high electron density, it will not attract electrons from the O-H bond. So, the O-H bond will be strong and does not break.
While the electron withdrawing groups will attract electrons toward itself. Thus, the electron density on oxygen atom will decrease and as a result, the oxygen will attract electrons from the O-H bond thereby it will become weak. So, it will be easily donated.
Recently Updated Pages
A man running at a speed 5 ms is viewed in the side class 12 physics CBSE

State and explain Hardy Weinbergs Principle class 12 biology CBSE

Which of the following statements is wrong a Amnion class 12 biology CBSE

Two Planoconcave lenses 1 and 2 of glass of refractive class 12 physics CBSE

The compound 2 methyl 2 butene on reaction with NaIO4 class 12 chemistry CBSE

Bacterial cell wall is made up of A Cellulose B Hemicellulose class 12 biology CBSE

Trending doubts
Explain sex determination in humans with line diag class 12 biology CBSE

The pH of the pancreatic juice is A 64 B 86 C 120 D class 12 biology CBSE

Which prominent US inventor was known as the Wizard class 12 social science CBSE

Which state in India is known as the Granary of India class 12 social science CBSE

Draw a ray diagram of compound microscope when the class 12 physics CBSE

When was the first election held in India a 194748 class 12 sst CBSE

