
What are the products of hydrolysis of sugar?
Answer
586.5k+ views
Hint: Sugar is actually a polymer. Hydrolysis cleaves a sugar into smaller units. It relates to carbohydrates.
Complete step-by-step answer:
So, what is sugar? Carbohydrates are commonly called sugar. Along with proteins and fats, carbohydrates are one of the macronutrients that our body requires to maintain all its structure and function. The body’s go-to substance for energy is carbohydrate. The plasma membranes of all our cells contain carbohydrate molecules that support its structure. The cell walls of plants are also composed of sugar, specifically cellulose. These are the compounds which make fruits sweet in taste. Carbohydrates or sugars are therefore omnipresent substances.
There are many types of substances that we commonly refer to when we say “sugar”, some of them are table sugar (sucrose), milk sugar (lactose) and malt sugar (maltose). Sugars are large molecules made up of monosaccharides and disaccharides. If we take the examples above then:
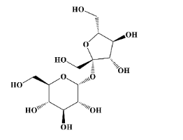
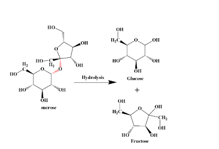
- Sucrose is a dimer of glucose (6-membered ring) and fructose (5-membered ring)
- Lactose is a dimer of glucose (top molecule) and galactose (bottom molecule)
- Maltose is a dimer of glucose
Similarly starch and glycogen are polymers of glucose.
Hydrolysis is the process of cleavage of molecules with the help of water molecules. It can be carried out in an acidic or basic medium. Hydrolysis of sugars breaks them into smaller molecules by cleaving the glycosidic bonds that hold the monomer units together. A glycosidic bond is formed between two monosaccharides when they are near enough to each other with the leaving of a water molecule. It is a condensation reaction. So when water is added to them in the reaction mixture they separate to their former states.
Hydrolysis of sugar results in forming of smaller units which may be polysaccharides, disaccharides or the smallest of all- monosaccharides. A typical hydrolysis reaction is shown below:
(The bond in red colour is the glycosidic bond that breaks during hydrolysis)
Note: Hydrolysis is not limited to only sugars. It is a very crucial chemical reaction both inside our bodies and also in the organic laboratories. Other macronutrients such as proteins and fats do not undergo hydrolysis to break into smaller units. They have different chemical reactions to achieve this.
Complete step-by-step answer:
So, what is sugar? Carbohydrates are commonly called sugar. Along with proteins and fats, carbohydrates are one of the macronutrients that our body requires to maintain all its structure and function. The body’s go-to substance for energy is carbohydrate. The plasma membranes of all our cells contain carbohydrate molecules that support its structure. The cell walls of plants are also composed of sugar, specifically cellulose. These are the compounds which make fruits sweet in taste. Carbohydrates or sugars are therefore omnipresent substances.
There are many types of substances that we commonly refer to when we say “sugar”, some of them are table sugar (sucrose), milk sugar (lactose) and malt sugar (maltose). Sugars are large molecules made up of monosaccharides and disaccharides. If we take the examples above then:
- Sucrose is a dimer of glucose (6-membered ring) and fructose (5-membered ring)
- Lactose is a dimer of glucose (top molecule) and galactose (bottom molecule)
- Maltose is a dimer of glucose
Similarly starch and glycogen are polymers of glucose.
Hydrolysis is the process of cleavage of molecules with the help of water molecules. It can be carried out in an acidic or basic medium. Hydrolysis of sugars breaks them into smaller molecules by cleaving the glycosidic bonds that hold the monomer units together. A glycosidic bond is formed between two monosaccharides when they are near enough to each other with the leaving of a water molecule. It is a condensation reaction. So when water is added to them in the reaction mixture they separate to their former states.
Hydrolysis of sugar results in forming of smaller units which may be polysaccharides, disaccharides or the smallest of all- monosaccharides. A typical hydrolysis reaction is shown below:
(The bond in red colour is the glycosidic bond that breaks during hydrolysis)
Note: Hydrolysis is not limited to only sugars. It is a very crucial chemical reaction both inside our bodies and also in the organic laboratories. Other macronutrients such as proteins and fats do not undergo hydrolysis to break into smaller units. They have different chemical reactions to achieve this.
Recently Updated Pages
A man running at a speed 5 ms is viewed in the side class 12 physics CBSE

State and explain Hardy Weinbergs Principle class 12 biology CBSE

Which of the following statements is wrong a Amnion class 12 biology CBSE

Two Planoconcave lenses 1 and 2 of glass of refractive class 12 physics CBSE

The compound 2 methyl 2 butene on reaction with NaIO4 class 12 chemistry CBSE

Bacterial cell wall is made up of A Cellulose B Hemicellulose class 12 biology CBSE

Trending doubts
What are the major means of transport Explain each class 12 social science CBSE

Which are the Top 10 Largest Countries of the World?

Draw a labelled sketch of the human eye class 12 physics CBSE

State the principle of an ac generator and explain class 12 physics CBSE

Sketch the electric field lines in case of an electric class 12 physics CBSE

Give 10 examples of unisexual and bisexual flowers

