
What are the possible resonance structures of $ C{H_3} - \,CH\, = \,CH\, - \,CH\, = \,O $ and $ C{H_3}\, - \,CO{O^ - } $ ? What is the order of stability of the contributing resonance structures?
Answer
510.6k+ views
Hint :A group of two or more Lewis Structures that collectively explain the electronic bonding of a single polyatomic species, including fractional bonds and fractional charges, is known as a resonance structure.
Complete Step By Step Answer:
Remember that the electrons will pass to the more electronegative or positive atom.
(a)But-2en-al
2-Butenal, also known as crotonaldehyde, is a member of the enal family of organic compounds. Since there is no such thing as a positive atom, but because $ O $ is the most electronegative, let us transfer electrons to it.
Let's move electrons to the carbon atom now that it has a positive charge.
Structure $ A $ contributes the most and has the lowest energy. Structures $ B $ and $ C $ have a higher energy level and contribute less.
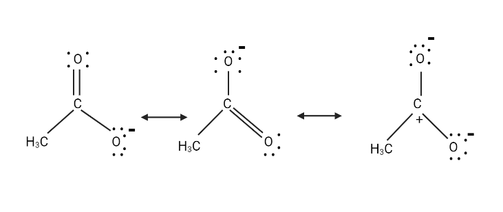
(b) Acetate ion
The removal of a proton from the carboxyl group of acetic acid produces acetate, a monocarboxylic acid anion.
There is no positive atom in this case, but the other $ O $ atom is an electronegative atom. Let us transfer the electrons in that direction.
To get the third structure shown below, transfer the electrons in the carbonyl group to the carbonyl $ O $ atom.
Of the three structures above, the first two structures are similar and have the same amount of energy. Since the third structure has three charges instead of one, it is just a minor contributor.
Note :
The basic aim of resonance structures is to demonstrate that molecules can transfer electrons and charges to different atoms. Since the charge (or bond) is now delocalized and not "forced" onto an atom that does not want it, resonance makes a molecule more stable.
Complete Step By Step Answer:
Remember that the electrons will pass to the more electronegative or positive atom.
(a)But-2en-al
2-Butenal, also known as crotonaldehyde, is a member of the enal family of organic compounds. Since there is no such thing as a positive atom, but because $ O $ is the most electronegative, let us transfer electrons to it.
Let's move electrons to the carbon atom now that it has a positive charge.
Structure $ A $ contributes the most and has the lowest energy. Structures $ B $ and $ C $ have a higher energy level and contribute less.
(b) Acetate ion
The removal of a proton from the carboxyl group of acetic acid produces acetate, a monocarboxylic acid anion.
There is no positive atom in this case, but the other $ O $ atom is an electronegative atom. Let us transfer the electrons in that direction.
To get the third structure shown below, transfer the electrons in the carbonyl group to the carbonyl $ O $ atom.
Of the three structures above, the first two structures are similar and have the same amount of energy. Since the third structure has three charges instead of one, it is just a minor contributor.
Note :
The basic aim of resonance structures is to demonstrate that molecules can transfer electrons and charges to different atoms. Since the charge (or bond) is now delocalized and not "forced" onto an atom that does not want it, resonance makes a molecule more stable.
Recently Updated Pages
Why are manures considered better than fertilizers class 11 biology CBSE

Find the coordinates of the midpoint of the line segment class 11 maths CBSE

Distinguish between static friction limiting friction class 11 physics CBSE

The Chairman of the constituent Assembly was A Jawaharlal class 11 social science CBSE

The first National Commission on Labour NCL submitted class 11 social science CBSE

Number of all subshell of n + l 7 is A 4 B 5 C 6 D class 11 chemistry CBSE

Trending doubts
What is meant by exothermic and endothermic reactions class 11 chemistry CBSE

10 examples of friction in our daily life

One Metric ton is equal to kg A 10000 B 1000 C 100 class 11 physics CBSE

1 Quintal is equal to a 110 kg b 10 kg c 100kg d 1000 class 11 physics CBSE

Difference Between Prokaryotic Cells and Eukaryotic Cells

What are Quantum numbers Explain the quantum number class 11 chemistry CBSE

