
An alcoholic solution of dimethylglyoxime is added to an aqueous solution of nickel (II) chloride. Slow addition of ammonium hydroxide leads to the precipitation of a rosy red coloured metal complex. Then find out the number of hydrogen bonds present in the structure of the complex.
(A) 2
(B) 3
(C) 3
(D) None
Answer
533.4k+ views
Hint: The red coloured complex is the product in the form of precipitate which is produced when an alcoholic solution of dimethylglyoxime is added to an aqueous solution of nickel (II) chloride.
Also, it’s a hint that the valency of nickel will determine the complex formation and the number of hydrogen bonds formed.
Complete step-by-step answer: Let us discuss the reactants involved to form a product whose hydrogen bonds needs to be counted;
Dimethylglyoxime is the whitish crystalline solid with molecular formula of ${{C}_{4}}{{H}_{8}}{{N}_{2}}{{O}_{2}}$ (also known as 2, 3 – butadiene dioxide).
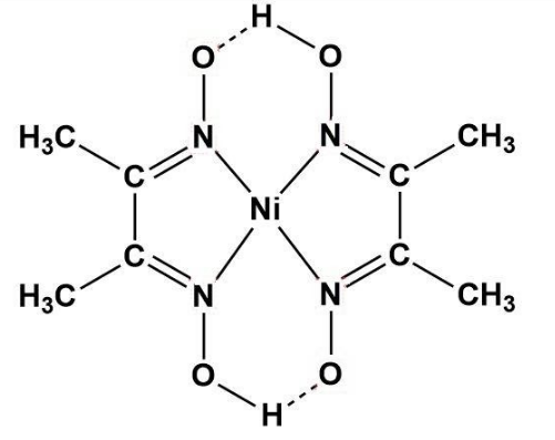
When $dmg{{H}_{2}}$ reacts with metals salts, a complex is formed i.e. metal-dmg is formed. So, in the case of nickel (II) chloride; the following displayed complex is formed.
Here, we can see that when $N{{i}^{2+}}$ reacts with $dmg{{H}_{2}}$, a Ni-dmg complex is formed having two hydrogen bonds (also as the valency of nickel is 2 in ionic form).
Therefore option (2) is correct.
Note:Dimethylglyoxime is actually used for the analysis and identification of nickel and palladium.
Specifically, for the nickel atom, the white coloured powder changes to a rosy red colour complex; hence, the presence of nickel is determined.
Also, it’s a hint that the valency of nickel will determine the complex formation and the number of hydrogen bonds formed.
Complete step-by-step answer: Let us discuss the reactants involved to form a product whose hydrogen bonds needs to be counted;
Dimethylglyoxime is the whitish crystalline solid with molecular formula of ${{C}_{4}}{{H}_{8}}{{N}_{2}}{{O}_{2}}$ (also known as 2, 3 – butadiene dioxide).
When $dmg{{H}_{2}}$ reacts with metals salts, a complex is formed i.e. metal-dmg is formed. So, in the case of nickel (II) chloride; the following displayed complex is formed.
Here, we can see that when $N{{i}^{2+}}$ reacts with $dmg{{H}_{2}}$, a Ni-dmg complex is formed having two hydrogen bonds (also as the valency of nickel is 2 in ionic form).
Therefore option (2) is correct.
Note:Dimethylglyoxime is actually used for the analysis and identification of nickel and palladium.
Specifically, for the nickel atom, the white coloured powder changes to a rosy red colour complex; hence, the presence of nickel is determined.
Recently Updated Pages
The number of solutions in x in 02pi for which sqrt class 12 maths CBSE

Write any two methods of preparation of phenol Give class 12 chemistry CBSE

Differentiate between action potential and resting class 12 biology CBSE

Two plane mirrors arranged at right angles to each class 12 physics CBSE

Which of the following molecules is are chiral A I class 12 chemistry CBSE

Name different types of neurons and give one function class 12 biology CBSE

Trending doubts
Which are the Top 10 Largest Countries of the World?

What are the major means of transport Explain each class 12 social science CBSE

Draw a labelled sketch of the human eye class 12 physics CBSE

Differentiate between insitu conservation and exsitu class 12 biology CBSE

State the principle of an ac generator and explain class 12 physics CBSE

Differentiate between homogeneous and heterogeneous class 12 chemistry CBSE

