
Acetone reacts with iodine $({I_2})$ to from iodoform, in the presence of :
(A) \[KOH\]
(B) \[NaOH\]
(C) \[CuC{O_3}\]
(D) \[MgC{O_3}\]
Answer
566.7k+ views
Hint: Iodoform is chemically tri-iodo-methane its chemical formula is $CH{I_3}.$
Iodoform is prepared by ethyl alcohol and acetone in laboratories.
Complete step by step answer:
(1) Acetone is when treated with iodine and potassium hydroxide, producing iodoform.
When reaction takes place in following steps.
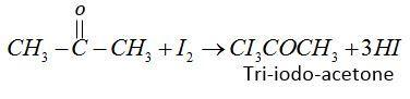
(2) In the first step iodine reacts with acetone in presence of $KOH$ and form tri-iodo-acetone.
(3) Second step tri-iodo-ethane reacts with $KOH$and forms iodoform.
$C{I_3}COC{H_3} + KOH \to CH{I_3} + C{H_3}COOK$
Iodoform potassium acetate
Therefore, form the above explanation the correct option is (A) $KOH.$
About $3.5ml$of acetone is taken in a flask. Powdered iodine is added to the flask, stir the mixture and place this mixture in a warm water bath.
Temperature is maintained at ${70^\circ }c$to ${80^\circ }c.$
When a solution is cooled yellow crystals of iodoform are obtained.
This method is an identification test for the presence of ketone groups in organic compounds.
This is also known as iodoform test.
Only methylated ketone shows this reaction.
If it means one of the alkyl groups in ketone should be methyl group.
So, the correct answer is “Option A”.
Additional Information:
Iodoform can also be prepared by ethanol. When ethyl alcohol is heated with iodine and sodium hydroxide or aqueous $N{a_2}C{O_3}$ form yellow crystalline solid iodoform.
$C{H_3}C{H_2}OH + C{I_2} + 6NaOH\xrightarrow{\Delta }CH{I_3} + HCOONa + 5NaI + 5{H_2}O$
Iodoform is a crystalline, volatile substance.
It has a distinctive odor and halogens to chloroform.
This is used as an antiseptic dressing.
Note:
As we discussed above only methylated ketones give iodoform test.
3-pentanone
Does not give iodoform test because it has two ethyl groups attached to carbonyl groups.
An aldehyde or ketone which has a methyl group attached to a carbonyl group will give a positive test.
Iodoform is prepared by ethyl alcohol and acetone in laboratories.
Complete step by step answer:
(1) Acetone is when treated with iodine and potassium hydroxide, producing iodoform.
When reaction takes place in following steps.
(2) In the first step iodine reacts with acetone in presence of $KOH$ and form tri-iodo-acetone.
(3) Second step tri-iodo-ethane reacts with $KOH$and forms iodoform.
$C{I_3}COC{H_3} + KOH \to CH{I_3} + C{H_3}COOK$
Iodoform potassium acetate
Therefore, form the above explanation the correct option is (A) $KOH.$
About $3.5ml$of acetone is taken in a flask. Powdered iodine is added to the flask, stir the mixture and place this mixture in a warm water bath.
Temperature is maintained at ${70^\circ }c$to ${80^\circ }c.$
When a solution is cooled yellow crystals of iodoform are obtained.
This method is an identification test for the presence of ketone groups in organic compounds.
This is also known as iodoform test.
Only methylated ketone shows this reaction.
If it means one of the alkyl groups in ketone should be methyl group.
So, the correct answer is “Option A”.
Additional Information:
Iodoform can also be prepared by ethanol. When ethyl alcohol is heated with iodine and sodium hydroxide or aqueous $N{a_2}C{O_3}$ form yellow crystalline solid iodoform.
$C{H_3}C{H_2}OH + C{I_2} + 6NaOH\xrightarrow{\Delta }CH{I_3} + HCOONa + 5NaI + 5{H_2}O$
Iodoform is a crystalline, volatile substance.
It has a distinctive odor and halogens to chloroform.
This is used as an antiseptic dressing.
Note:
As we discussed above only methylated ketones give iodoform test.
3-pentanone
Does not give iodoform test because it has two ethyl groups attached to carbonyl groups.
An aldehyde or ketone which has a methyl group attached to a carbonyl group will give a positive test.
Recently Updated Pages
A man running at a speed 5 ms is viewed in the side class 12 physics CBSE

State and explain Hardy Weinbergs Principle class 12 biology CBSE

Which of the following statements is wrong a Amnion class 12 biology CBSE

Two Planoconcave lenses 1 and 2 of glass of refractive class 12 physics CBSE

The compound 2 methyl 2 butene on reaction with NaIO4 class 12 chemistry CBSE

Bacterial cell wall is made up of A Cellulose B Hemicellulose class 12 biology CBSE

Trending doubts
Explain sex determination in humans with line diag class 12 biology CBSE

The pH of the pancreatic juice is A 64 B 86 C 120 D class 12 biology CBSE

Which prominent US inventor was known as the Wizard class 12 social science CBSE

Which state in India is known as the Granary of India class 12 social science CBSE

Draw a ray diagram of compound microscope when the class 12 physics CBSE

When was the first election held in India a 194748 class 12 sst CBSE

