
a) Write the structures of the main products of below reactions:
b) Give chemical tests to distinguish between:
i) Phenol and benzoic acid
ii) Benzophenone and Acetophenone
Answer
559.2k+ views
Hint: -Benzene can be converted into benzophenone by Friedel-crafts acylation.
-p-Nitrotoluene converts into p-nitrobenzaldehyde by Etard Reaction.
-Ferric chloride test is used to distinguish phenol and benzoic acid.
-Iodoform test is used to distinguish benzophenone and acetophenone.
Complete answer:
a) (i)
-The above reaction is called friedel-crafts acylation.
(ii)
-When Propyne is treated with dilute sulphuric acid in presence of mercury (II) sulphate, the major product formed is acetone.
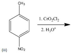
(iii)
-The above reaction is called Etard reaction and the product formed is p-nitrobenzaldehyde.
b) Tests to distinguish the following chemicals
i) Phenol and benzoic acid - Phenol does not react with sodium bicarbonate ($NaHC{{O}_{3}}$) and benzoic acid gives effervescence of carbon dioxide ($C{{O}_{2}}$) gas upon reaction with sodium hydrogen carbonate.
- Phenol and benzoic acid can be distinguished by using ferric chloride test.
- Ferric chloride test: Phenol reacts with neutral ferric chloride to form ferric phenoxide complex having violet color. Phenol gives violet color with ferric chloride solution but benzoic acid does not give violet color.
ii) Benzophenone and Acetophenone -Benzophenone and Acetophenone can be distinguished easily by using iodoform test.
-Iodoform test: Acetophenone, contains a methyl ketone on treatment with ${{I}_{2}}/NaOH$ undergoes iodoform reaction to give a yellow precipitate. On the other hand, benzophenone does not have a methyl group. So, benzophenone does not give iodoform test.
Note: Don’t be confused with the terms Phenol and benzoic acid, Benzophenone and Acetophenone. In phenol there is an alcohol functional group and in benzoic and there is a carboxylic acid functional group.
In acetophenone there is a methyl group but in benzophenone two phenyl groups are attached through carbonyl groups.
-p-Nitrotoluene converts into p-nitrobenzaldehyde by Etard Reaction.
-Ferric chloride test is used to distinguish phenol and benzoic acid.
-Iodoform test is used to distinguish benzophenone and acetophenone.
Complete answer:
a) (i)
-The above reaction is called friedel-crafts acylation.
(ii)
-When Propyne is treated with dilute sulphuric acid in presence of mercury (II) sulphate, the major product formed is acetone.
(iii)
-The above reaction is called Etard reaction and the product formed is p-nitrobenzaldehyde.
b) Tests to distinguish the following chemicals
i) Phenol and benzoic acid - Phenol does not react with sodium bicarbonate ($NaHC{{O}_{3}}$) and benzoic acid gives effervescence of carbon dioxide ($C{{O}_{2}}$) gas upon reaction with sodium hydrogen carbonate.
- Phenol and benzoic acid can be distinguished by using ferric chloride test.
- Ferric chloride test: Phenol reacts with neutral ferric chloride to form ferric phenoxide complex having violet color. Phenol gives violet color with ferric chloride solution but benzoic acid does not give violet color.
ii) Benzophenone and Acetophenone -Benzophenone and Acetophenone can be distinguished easily by using iodoform test.
-Iodoform test: Acetophenone, contains a methyl ketone on treatment with ${{I}_{2}}/NaOH$ undergoes iodoform reaction to give a yellow precipitate. On the other hand, benzophenone does not have a methyl group. So, benzophenone does not give iodoform test.
Note: Don’t be confused with the terms Phenol and benzoic acid, Benzophenone and Acetophenone. In phenol there is an alcohol functional group and in benzoic and there is a carboxylic acid functional group.
In acetophenone there is a methyl group but in benzophenone two phenyl groups are attached through carbonyl groups.
Recently Updated Pages
A man running at a speed 5 ms is viewed in the side class 12 physics CBSE

The number of solutions in x in 02pi for which sqrt class 12 maths CBSE

State and explain Hardy Weinbergs Principle class 12 biology CBSE

Write any two methods of preparation of phenol Give class 12 chemistry CBSE

Which of the following statements is wrong a Amnion class 12 biology CBSE

Differentiate between action potential and resting class 12 biology CBSE

Trending doubts
What are the major means of transport Explain each class 12 social science CBSE

Which are the Top 10 Largest Countries of the World?

Draw a labelled sketch of the human eye class 12 physics CBSE

How much time does it take to bleed after eating p class 12 biology CBSE

Explain sex determination in humans with line diag class 12 biology CBSE

Explain sex determination in humans with the help of class 12 biology CBSE

