
A hole is ___________________________.
A) a positively charged electron
B) an electron in the valence band
C) an unfilled covalent bond
D) an excess electron in the covalent bond
Answer
583.2k+ views
Hint:.Holes are created when an electron leaves the valence band and moves to the conduction band. Thus in a semiconductor, the movements of the holes and the electrons are responsible for the current flow in it. When an electric field is applied across a semiconductor, the holes and the electrons move in opposite directions.
Complete step by step answer.
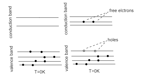
Step 1: Explain the physical concept of a hole with an appropriate figure.
A figure representing the transfer of electrons from the valence band to the conduction band
Holes exist in semiconductors. At temperature, $T = 0{\text{K}}$ the valence band of an intrinsic semiconductor is completely filled and the conduction band is empty. When the temperature is increased, however, some electrons acquire enough energy to escape into the conduction band. As they leave the valence band a vacant space gets generated in their place. In a covalent bond, when an electron receives enough thermal energy due to the increase in temperature, it tends to break free of its bond, leaving an empty space in its place. This empty space or this absence of an electron is termed as a hole. Thus a hole can be described as an unfilled covalent bond.
So, the correct option is C.
Note: A hole is not a physical particle, it is just a void created by an electron leaving the valence band and is said to possess an effective positive charge. The valence band refers to the outermost shell of an atom that is completely filled with electrons. Electrons always have a tendency to escape to the conduction band if sufficient energy to cross the energy gap between the two bands is received. A covalent bond is a shared pair of electrons between two atoms.
Complete step by step answer.
Step 1: Explain the physical concept of a hole with an appropriate figure.
A figure representing the transfer of electrons from the valence band to the conduction band
Holes exist in semiconductors. At temperature, $T = 0{\text{K}}$ the valence band of an intrinsic semiconductor is completely filled and the conduction band is empty. When the temperature is increased, however, some electrons acquire enough energy to escape into the conduction band. As they leave the valence band a vacant space gets generated in their place. In a covalent bond, when an electron receives enough thermal energy due to the increase in temperature, it tends to break free of its bond, leaving an empty space in its place. This empty space or this absence of an electron is termed as a hole. Thus a hole can be described as an unfilled covalent bond.
So, the correct option is C.
Note: A hole is not a physical particle, it is just a void created by an electron leaving the valence band and is said to possess an effective positive charge. The valence band refers to the outermost shell of an atom that is completely filled with electrons. Electrons always have a tendency to escape to the conduction band if sufficient energy to cross the energy gap between the two bands is received. A covalent bond is a shared pair of electrons between two atoms.
Recently Updated Pages
Master Class 12 Economics: Engaging Questions & Answers for Success

Master Class 12 Physics: Engaging Questions & Answers for Success

Master Class 12 English: Engaging Questions & Answers for Success

Master Class 12 Social Science: Engaging Questions & Answers for Success

Master Class 12 Maths: Engaging Questions & Answers for Success

Master Class 12 Business Studies: Engaging Questions & Answers for Success

Trending doubts
Which are the Top 10 Largest Countries of the World?

What are the major means of transport Explain each class 12 social science CBSE

Draw a labelled sketch of the human eye class 12 physics CBSE

What is a transformer Explain the principle construction class 12 physics CBSE

Differentiate between insitu conservation and exsitu class 12 biology CBSE

Maltose on hydrolysis gives A Mannose +glucose B Galactose+glucose class 12 chemistry CBSE

