
$(A)\xrightarrow[{AlC{l_3}}]{{C{H_3}COCl}}(B)\xrightarrow[{}]{{PC{l_3}}}(C)\xrightarrow{{2NaN{H_2}}}(D)$ If (A) is ${C_6}{H_6}$, then:
(A) D is a terminal alkyne
(B) (A) is a aromatic compound
(C) D has 8 carbon
(D) All the statements are true
Answer
576k+ views
Hint: In presence of lewis acid, acyl chloride will give a Friedel-Crafts acylation reaction. Aromatic compound is a compound which has a ring which has total 4n+2 $\pi $ electrons and planar structure. Terminal alkyne is a compound in which one sp hybridized carbon has hydrogen bonded with it.
Complete Step-by-Step Solution:
We will see the complete reaction with mechanism in order to find the correct answer.
- $AlC{l_3}$ is a lewis acid and in presence of it, acetyl chloride can give Friedel-Crafts acylation reaction when Benzene is allowed to react. Thus, an electrophilic substitution reaction will take place here. The product formed is Acetophenone. The mechanism of the reaction can be given as
\[C{H_3}COCl + AlC{l_3} \to C{H_3}C{O^ + } + AlC{l_4}^ - \]
- $PC{l_3}$ is a compound which has nucleophilic chlorine atoms. Thus, chlorine atoms attack the carbonyl carbon to give a geminal dihalide compound. Thus, the carbonyl carbon will have two chlorine atoms after the reaction with $PC{l_3}$. The reaction can be given as
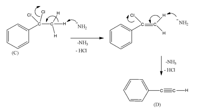
- Then, sodamide $(NaN{H_2})$ is allowed to react with the compound (C). Sodamide is a very strong base and it can bring dehydrohalogenation of the germinal chloride compound. The product will be a terminal alkyne. The mechanism can be given as below.
- Thus, we can see that the compound (D) has a group $C \equiv C - H$ . Thus, this alkyne is called terminal alkyne. As compound (A) has given Friedel-Crafts acylation reaction, (A) is an aromatic compound. We can see that compound (D) has a total of 8 carbon atoms. Thus, all statements are true.
So, the correct answer of the question is (D).
Note: Remember that sodamide is a strong base and when it is allowed to react with geminal halides, it forms alkynes. If there is possibility of formation of a normal alkyne and a terminal alkyne, then formation of terminal alkyne is favored.
Complete Step-by-Step Solution:
We will see the complete reaction with mechanism in order to find the correct answer.
- $AlC{l_3}$ is a lewis acid and in presence of it, acetyl chloride can give Friedel-Crafts acylation reaction when Benzene is allowed to react. Thus, an electrophilic substitution reaction will take place here. The product formed is Acetophenone. The mechanism of the reaction can be given as
\[C{H_3}COCl + AlC{l_3} \to C{H_3}C{O^ + } + AlC{l_4}^ - \]
- $PC{l_3}$ is a compound which has nucleophilic chlorine atoms. Thus, chlorine atoms attack the carbonyl carbon to give a geminal dihalide compound. Thus, the carbonyl carbon will have two chlorine atoms after the reaction with $PC{l_3}$. The reaction can be given as
- Then, sodamide $(NaN{H_2})$ is allowed to react with the compound (C). Sodamide is a very strong base and it can bring dehydrohalogenation of the germinal chloride compound. The product will be a terminal alkyne. The mechanism can be given as below.
- Thus, we can see that the compound (D) has a group $C \equiv C - H$ . Thus, this alkyne is called terminal alkyne. As compound (A) has given Friedel-Crafts acylation reaction, (A) is an aromatic compound. We can see that compound (D) has a total of 8 carbon atoms. Thus, all statements are true.
So, the correct answer of the question is (D).
Note: Remember that sodamide is a strong base and when it is allowed to react with geminal halides, it forms alkynes. If there is possibility of formation of a normal alkyne and a terminal alkyne, then formation of terminal alkyne is favored.
Recently Updated Pages
Master Class 12 Economics: Engaging Questions & Answers for Success

Master Class 12 Physics: Engaging Questions & Answers for Success

Master Class 12 English: Engaging Questions & Answers for Success

Master Class 12 Social Science: Engaging Questions & Answers for Success

Master Class 12 Maths: Engaging Questions & Answers for Success

Master Class 12 Business Studies: Engaging Questions & Answers for Success

Trending doubts
Which are the Top 10 Largest Countries of the World?

What are the major means of transport Explain each class 12 social science CBSE

Draw a labelled sketch of the human eye class 12 physics CBSE

Why cannot DNA pass through cell membranes class 12 biology CBSE

Differentiate between insitu conservation and exsitu class 12 biology CBSE

Draw a neat and well labeled diagram of TS of ovary class 12 biology CBSE

