
Z is known as:
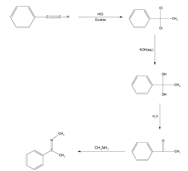
${\text{Ph}} - \equiv {\text{CH}}\xrightarrow[{excess}]{{HCl}}X\xrightarrow[{}]{{KOH\left( {aq} \right)}}Y\xrightarrow[{}]{{C{H_3} - N{H_2}}}Z$
A.Schiff’s reagent
B.Magenta dye
C.Schiff’s dye
D.Schiff’s base
Answer
533.1k+ views
Hint: To answer this question, you must recall the various reactions between organic compounds and the purposes of reactions of each of the given reagents. Hydrogen chloride on reaction with an unsaturated alkene undergoes hydrohalogenation reaction.
Complete step-by-step answer:
In hydrohalogenation reaction, the hydrogen halide breaks into a hydrogen cation and halide anion by the heterolytic cleavage. This additional reaction takes place according to Markovnikov's rule. The hydrogen cation preferably attacks the terminal carbon of the alkene so that the carbocation formed is more substituted and hence stable. The incoming halide ion attaches to the inner carbon and thus a secondary alkyl halide is formed. Another mole of hydrogen chloride is added in a similar way and a dihaloalkane is formed.
When aqueous ${\text{KOH}}$ is used, ${\text{O}}{{\text{H}}^ - }$ ion is both a strong base as well as a strong nucleophile. But in an aqueous solution, the hydroxide ions are highly hydrated. This reduces the basic character of ${\text{O}}{{\text{H}}^ - }$ ions and thus it fails to abstract a hydrogen from the $\beta $- carbon of the alkyl chloride to form a double bond. Thus, it results into a nucleophilic substitution reaction and both the chlorine molecules are replaced by hydroxyl group and a geminal diol is formed
Geminal diols undergo condensation and a ketone is formed. In this case, we obtain acetophenone.
Acetophenone on reaction with a primary amine undergoes nucleophilic substitution reaction forming a Schiff’s base.
Thus, the correct answer is D.
Note: Geminal diols undergo loss of a water molecule due to the vicinity of two hydroxyl groups to each other. It is highly unstable due to high lone pair- lone pair repulsion and thus a water molecule is lost.
Complete step-by-step answer:
In hydrohalogenation reaction, the hydrogen halide breaks into a hydrogen cation and halide anion by the heterolytic cleavage. This additional reaction takes place according to Markovnikov's rule. The hydrogen cation preferably attacks the terminal carbon of the alkene so that the carbocation formed is more substituted and hence stable. The incoming halide ion attaches to the inner carbon and thus a secondary alkyl halide is formed. Another mole of hydrogen chloride is added in a similar way and a dihaloalkane is formed.
When aqueous ${\text{KOH}}$ is used, ${\text{O}}{{\text{H}}^ - }$ ion is both a strong base as well as a strong nucleophile. But in an aqueous solution, the hydroxide ions are highly hydrated. This reduces the basic character of ${\text{O}}{{\text{H}}^ - }$ ions and thus it fails to abstract a hydrogen from the $\beta $- carbon of the alkyl chloride to form a double bond. Thus, it results into a nucleophilic substitution reaction and both the chlorine molecules are replaced by hydroxyl group and a geminal diol is formed
Geminal diols undergo condensation and a ketone is formed. In this case, we obtain acetophenone.
Acetophenone on reaction with a primary amine undergoes nucleophilic substitution reaction forming a Schiff’s base.
Thus, the correct answer is D.
Note: Geminal diols undergo loss of a water molecule due to the vicinity of two hydroxyl groups to each other. It is highly unstable due to high lone pair- lone pair repulsion and thus a water molecule is lost.
Recently Updated Pages
Why are manures considered better than fertilizers class 11 biology CBSE

Find the coordinates of the midpoint of the line segment class 11 maths CBSE

Distinguish between static friction limiting friction class 11 physics CBSE

The Chairman of the constituent Assembly was A Jawaharlal class 11 social science CBSE

The first National Commission on Labour NCL submitted class 11 social science CBSE

Number of all subshell of n + l 7 is A 4 B 5 C 6 D class 11 chemistry CBSE

Trending doubts
Differentiate between an exothermic and an endothermic class 11 chemistry CBSE

10 examples of friction in our daily life

One Metric ton is equal to kg A 10000 B 1000 C 100 class 11 physics CBSE

Difference Between Prokaryotic Cells and Eukaryotic Cells

1 Quintal is equal to a 110 kg b 10 kg c 100kg d 1000 class 11 physics CBSE

State the laws of reflection of light

