
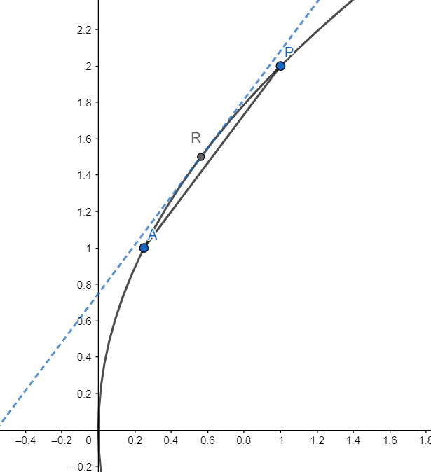
${{y}^{2}}=4x$ is a curve and P, Q and R are three points on it, where $P\equiv \left( 1,2 \right)$ and $Q\equiv \left( \dfrac{1}{4},1 \right)$ and the tangent to the curve R is parallel to the chord PQ of the curve, then the coordinates of R are
[a] $\left( \dfrac{5}{8},\sqrt{\dfrac{5}{2}} \right)$
[b] $\left( \dfrac{9}{16},\dfrac{3}{2} \right)$
[c] $\left( \dfrac{5}{8},-\sqrt{\dfrac{5}{2}} \right)$
[d] $\left( \dfrac{9}{16},-\dfrac{3}{2} \right)$
Answer
608.7k+ views
Hint: Use the property that the equation of tangent of slope m to the parabola ${{y}^{2}}=4ax$ is given by
\[y=mx+\dfrac{a}{m}\]. Hence find the coordinates of the point of intersection of the tangent and the parabola. This will give the coordinates of R.
Complete step-by-step answer:
Alternatively, let $R\equiv \left( {{x}_{1}},{{y}_{1}} \right)$. Hence find the equation of the tangent at R. Use the fact that the slope of this tangent is equal to the slope of the chord PQ, and the fact that R lies on the parabola, to get two equations in ${{x}_{1}}$ and ${{y}_{1}}$. Solve for ${{x}_{1}}$ and ${{y}_{1}}$ to get the coordinates of R.
Slope of PQ $=\dfrac{2-1}{1-\dfrac{1}{4}}=\dfrac{4}{3}$
Hence the slope of the tangent at R $=\dfrac{4}{3}$
Let the equation of the tangent at R be $y=\dfrac{4}{3}x+c$
Hence the coordinates of R are the coordinates of the point of intersection of the tangent at R and Parabola.
Substituting the value of y from the equation of tangent in the equation of the parabola, we get
$\begin{align}
& {{\left( \dfrac{4}{3}x+c \right)}^{2}}=4x \\
& \Rightarrow \dfrac{16{{x}^{2}}}{9}+\dfrac{8xc}{3}+{{c}^{2}}-4x=0 \\
& \Rightarrow \dfrac{16}{9}{{x}^{2}}+x\left( \dfrac{8c}{3}-4 \right)+{{c}^{2}}=0\text{ (i)} \\
\end{align}$
Since tangent intersects the parabola at exactly one point, we have $\dfrac{16}{9}{{x}^{2}}+x\left( \dfrac{8c}{3}-4 \right)+{{c}^{2}}=0$ has real and equal roots.
We know that $a{{x}^{2}}+bx+c=0$ has real and equal roots if and only if D = 0.
Hence we have
$\begin{align}
& {{\left( \dfrac{8c}{3}-4 \right)}^{2}}-4\left( \dfrac{16}{9} \right)\left( {{c}^{2}} \right)=0 \\
& \Rightarrow \dfrac{64{{c}^{2}}}{9}+16-\dfrac{64}{3}c-\dfrac{64}{9}{{c}^{2}}=0 \\
& \Rightarrow \dfrac{64c}{3}=16 \\
& \Rightarrow c=\dfrac{3}{4} \\
\end{align}$
Hence we have the equation of the tangent at R is $y=\dfrac{4}{3}x+\dfrac{3}{4}$
Also, equation (i) becomes
$\begin{align}
& \dfrac{16}{9}{{x}^{2}}+x\left( 2-4 \right)+\dfrac{9}{16}=0 \\
& \Rightarrow \dfrac{16}{9}{{x}^{2}}-2x+\dfrac{9}{16} \\
\end{align}$
Since D = 0, roots are given by $x=\dfrac{-b}{2a}=\dfrac{2}{32}\times 9=\dfrac{9}{16}$
Hence
$\begin{align}
& {{y}^{2}}=4\left( \dfrac{9}{16} \right) \\
& \Rightarrow y={{\left( \dfrac{9}{4} \right)}^{2}}=\pm \dfrac{3}{2} \\
\end{align}$
Also, the slope of the tangent to the parabola ${{y}^{2}}=4ax$ at the point $R\left( {{x}_{1}},{{y}_{1}} \right)$ is given by $\dfrac{2a}{{{y}_{1}}}$.
Since the slope of the tangent at R is positive, we have $y=-\dfrac{3}{2}$ rejected.
Hence $y=\dfrac{3}{2}$
Hence the coordinates of R are given by $\left( \dfrac{9}{16},\dfrac{3}{2} \right)$.
Hence option [b] is correct.
Note: Alternatively, we know that the equation of the tangent to the parabola ${{y}^{2}}=4ax$ of slope m is given by $y=mx+\dfrac{a}{m}$
Here a = 1 and $m=\dfrac{4}{3}$.
Hence the equation of the tangent is given by $y=\dfrac{4}{3}x+\dfrac{3}{4}$ which is the same as obtained above.
\[y=mx+\dfrac{a}{m}\]. Hence find the coordinates of the point of intersection of the tangent and the parabola. This will give the coordinates of R.
Complete step-by-step answer:
Alternatively, let $R\equiv \left( {{x}_{1}},{{y}_{1}} \right)$. Hence find the equation of the tangent at R. Use the fact that the slope of this tangent is equal to the slope of the chord PQ, and the fact that R lies on the parabola, to get two equations in ${{x}_{1}}$ and ${{y}_{1}}$. Solve for ${{x}_{1}}$ and ${{y}_{1}}$ to get the coordinates of R.
Slope of PQ $=\dfrac{2-1}{1-\dfrac{1}{4}}=\dfrac{4}{3}$
Hence the slope of the tangent at R $=\dfrac{4}{3}$
Let the equation of the tangent at R be $y=\dfrac{4}{3}x+c$
Hence the coordinates of R are the coordinates of the point of intersection of the tangent at R and Parabola.
Substituting the value of y from the equation of tangent in the equation of the parabola, we get
$\begin{align}
& {{\left( \dfrac{4}{3}x+c \right)}^{2}}=4x \\
& \Rightarrow \dfrac{16{{x}^{2}}}{9}+\dfrac{8xc}{3}+{{c}^{2}}-4x=0 \\
& \Rightarrow \dfrac{16}{9}{{x}^{2}}+x\left( \dfrac{8c}{3}-4 \right)+{{c}^{2}}=0\text{ (i)} \\
\end{align}$
Since tangent intersects the parabola at exactly one point, we have $\dfrac{16}{9}{{x}^{2}}+x\left( \dfrac{8c}{3}-4 \right)+{{c}^{2}}=0$ has real and equal roots.
We know that $a{{x}^{2}}+bx+c=0$ has real and equal roots if and only if D = 0.
Hence we have
$\begin{align}
& {{\left( \dfrac{8c}{3}-4 \right)}^{2}}-4\left( \dfrac{16}{9} \right)\left( {{c}^{2}} \right)=0 \\
& \Rightarrow \dfrac{64{{c}^{2}}}{9}+16-\dfrac{64}{3}c-\dfrac{64}{9}{{c}^{2}}=0 \\
& \Rightarrow \dfrac{64c}{3}=16 \\
& \Rightarrow c=\dfrac{3}{4} \\
\end{align}$
Hence we have the equation of the tangent at R is $y=\dfrac{4}{3}x+\dfrac{3}{4}$
Also, equation (i) becomes
$\begin{align}
& \dfrac{16}{9}{{x}^{2}}+x\left( 2-4 \right)+\dfrac{9}{16}=0 \\
& \Rightarrow \dfrac{16}{9}{{x}^{2}}-2x+\dfrac{9}{16} \\
\end{align}$
Since D = 0, roots are given by $x=\dfrac{-b}{2a}=\dfrac{2}{32}\times 9=\dfrac{9}{16}$
Hence
$\begin{align}
& {{y}^{2}}=4\left( \dfrac{9}{16} \right) \\
& \Rightarrow y={{\left( \dfrac{9}{4} \right)}^{2}}=\pm \dfrac{3}{2} \\
\end{align}$
Also, the slope of the tangent to the parabola ${{y}^{2}}=4ax$ at the point $R\left( {{x}_{1}},{{y}_{1}} \right)$ is given by $\dfrac{2a}{{{y}_{1}}}$.
Since the slope of the tangent at R is positive, we have $y=-\dfrac{3}{2}$ rejected.
Hence $y=\dfrac{3}{2}$
Hence the coordinates of R are given by $\left( \dfrac{9}{16},\dfrac{3}{2} \right)$.
Hence option [b] is correct.
Note: Alternatively, we know that the equation of the tangent to the parabola ${{y}^{2}}=4ax$ of slope m is given by $y=mx+\dfrac{a}{m}$
Here a = 1 and $m=\dfrac{4}{3}$.
Hence the equation of the tangent is given by $y=\dfrac{4}{3}x+\dfrac{3}{4}$ which is the same as obtained above.
Recently Updated Pages
Master Class 11 Computer Science: Engaging Questions & Answers for Success

Master Class 11 Business Studies: Engaging Questions & Answers for Success

Master Class 11 Economics: Engaging Questions & Answers for Success

Master Class 11 English: Engaging Questions & Answers for Success

Master Class 11 Maths: Engaging Questions & Answers for Success

Master Class 11 Biology: Engaging Questions & Answers for Success

Trending doubts
One Metric ton is equal to kg A 10000 B 1000 C 100 class 11 physics CBSE

There are 720 permutations of the digits 1 2 3 4 5 class 11 maths CBSE

Discuss the various forms of bacteria class 11 biology CBSE

Draw a diagram of a plant cell and label at least eight class 11 biology CBSE

State the laws of reflection of light

Explain zero factorial class 11 maths CBSE

