
Write an equation to show that 2,3-dimethylbutane may be prepared from each of the following compounds. (i) an alkene (ii) a grignard reagent (iii) a haloalkane (iv) a sodium alkanoate?
Answer
519.6k+ views
Hint: 2,3-dimethylbutane is generally a form of alkane which consist of long chain of 4 carbon atoms known as the name butane and branching of two methyl groups are present at position 2 and 3 which termed as dimethyl.
Complete answer:
(i) An alkene: Alkene contains unsaturation in it i.e. double bond is present in alkenes. The equation can be written as:
In first step bromination is done and then two equivalents of $LiCu{{(C{{H}_{3}})}_{2}}$gives us the 2,3-dimethylbutane.
(ii) a grignard reagent: This can be shown as follows:
Water gets rid by the magnesium bromide substituent and substitutes it with a hydrogen, then Hydroboration adds a hydroxide on the carbon where the magnesium bromide is added according to anti-Markovnikov rule and $PB{{r}_{3}}$ substitutes the hydroxide with a bromide group then$MgS{{O}_{4}}$ acts as a drying agent to clear the reaction vessel of any water remaining from steps 1 and 2, $LiCu{{(C{{H}_{3}})}_{2}}$ substitutes a methyl group in place of the bromide group.
(iii) a haloalkane:
This is the same as alkene.
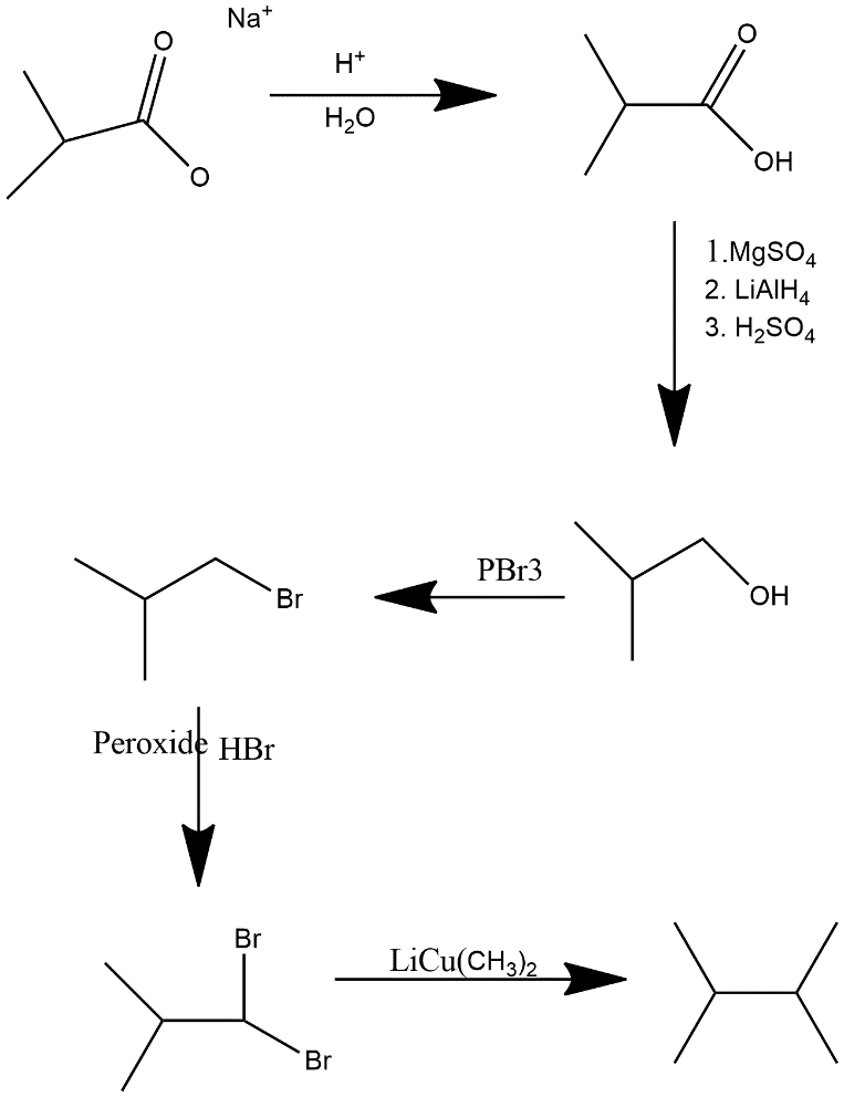
(iv) a sodium alkanoate
In first step strong acid protonated the alkanoate and make it carboxylic acid then $MgS{{O}_{4}}$ $MgS{{O}_{4}}$, $LiAl{{H}_{4}}$ and dilute sulfuric acid acts as reducing agent turns acid in alcoholic group after that same step occurs as in equation i.
Note:
Alkyl halides are also known by the name halo alkanes or halogen alkanes. These are chemical compounds which are derived from alkanes which contains one or more halogen atoms. These are also known as these are a subset of the general class of halocarbons.
Complete answer:
(i) An alkene: Alkene contains unsaturation in it i.e. double bond is present in alkenes. The equation can be written as:
In first step bromination is done and then two equivalents of $LiCu{{(C{{H}_{3}})}_{2}}$gives us the 2,3-dimethylbutane.
(ii) a grignard reagent: This can be shown as follows:
Water gets rid by the magnesium bromide substituent and substitutes it with a hydrogen, then Hydroboration adds a hydroxide on the carbon where the magnesium bromide is added according to anti-Markovnikov rule and $PB{{r}_{3}}$ substitutes the hydroxide with a bromide group then$MgS{{O}_{4}}$ acts as a drying agent to clear the reaction vessel of any water remaining from steps 1 and 2, $LiCu{{(C{{H}_{3}})}_{2}}$ substitutes a methyl group in place of the bromide group.
(iii) a haloalkane:
This is the same as alkene.
(iv) a sodium alkanoate
In first step strong acid protonated the alkanoate and make it carboxylic acid then $MgS{{O}_{4}}$ $MgS{{O}_{4}}$, $LiAl{{H}_{4}}$ and dilute sulfuric acid acts as reducing agent turns acid in alcoholic group after that same step occurs as in equation i.
Note:
Alkyl halides are also known by the name halo alkanes or halogen alkanes. These are chemical compounds which are derived from alkanes which contains one or more halogen atoms. These are also known as these are a subset of the general class of halocarbons.
Recently Updated Pages
Why are manures considered better than fertilizers class 11 biology CBSE

Find the coordinates of the midpoint of the line segment class 11 maths CBSE

Distinguish between static friction limiting friction class 11 physics CBSE

The Chairman of the constituent Assembly was A Jawaharlal class 11 social science CBSE

The first National Commission on Labour NCL submitted class 11 social science CBSE

Number of all subshell of n + l 7 is A 4 B 5 C 6 D class 11 chemistry CBSE

Trending doubts
Differentiate between an exothermic and an endothermic class 11 chemistry CBSE

10 examples of friction in our daily life

One Metric ton is equal to kg A 10000 B 1000 C 100 class 11 physics CBSE

Difference Between Prokaryotic Cells and Eukaryotic Cells

1 Quintal is equal to a 110 kg b 10 kg c 100kg d 1000 class 11 physics CBSE

State the laws of reflection of light

