
Which one of the following nitro-compounds does not react with nitrous acid.
A.
B.
C.
D.
Answer
562.5k+ views
Hint:The nitro compound having alpha hydrogen reacts with nitrous acid. The reaction is used for distinguished primary, secondary and tertiary nitro compounds.
Complete answer:
The reaction of nitrous acid with different nitro alkane gives different results, so this is used to differentiate the primary, secondary and tertiary nitro compounds.
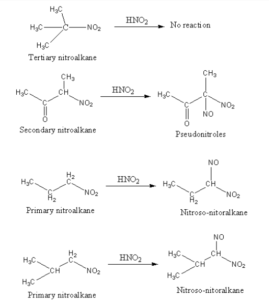
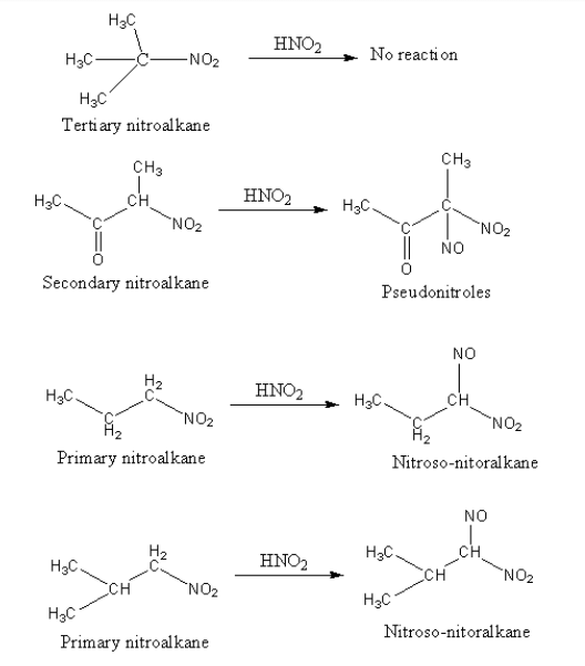
The product of all nitroalkanes with nitrous acid is shown as follows:
The carbon directly attached to the nitro group is known as alpha carbon and the hydrogen attached with alpha carbon is known as alpha hydrogen. Based on the number of carbon attached with alpha carbon, the nitroalkane is differentiated as primary, secondary and tertiary. If the alpha carbon is attached with only one carbon the nitroalkane is known as primary nitroalkane.
Primary nitroalkane has alpha hydrogen, so they react with nitrous acid and form nitroso-nitroalkane.
Secondary nitroalkane also has alpha hydrogen, so they react with nitrous acid and form pseudonitroles.
Tertiary nitroalkanes do not have alpha hydrogen, so they do not react with nitrous acid.
Nitroalkane in option (A) is tertiary nitroalkane, so it does not react with nitrous acid, so option (A) is correct.
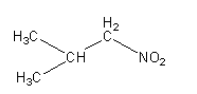
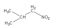
Nitroalkane in option (B) is secondary and nitroalkane in option (C) and (D) are primary nitroalkane, so they react with nitrous acid.
Therefore, option (A) $({CH_3})_3CNO_2 $ is correct.
Note:
The nitroso-nitroalkane gives blue colour in sodium hydroxide solution whereas the pseudonitroles give red colour in sodium hydroxide solution and tertiary nitroalkane does not react with nitrous acid.
Complete answer:
The reaction of nitrous acid with different nitro alkane gives different results, so this is used to differentiate the primary, secondary and tertiary nitro compounds.
The product of all nitroalkanes with nitrous acid is shown as follows:
The carbon directly attached to the nitro group is known as alpha carbon and the hydrogen attached with alpha carbon is known as alpha hydrogen. Based on the number of carbon attached with alpha carbon, the nitroalkane is differentiated as primary, secondary and tertiary. If the alpha carbon is attached with only one carbon the nitroalkane is known as primary nitroalkane.
Primary nitroalkane has alpha hydrogen, so they react with nitrous acid and form nitroso-nitroalkane.
Secondary nitroalkane also has alpha hydrogen, so they react with nitrous acid and form pseudonitroles.
Tertiary nitroalkanes do not have alpha hydrogen, so they do not react with nitrous acid.
Nitroalkane in option (A) is tertiary nitroalkane, so it does not react with nitrous acid, so option (A) is correct.
Nitroalkane in option (B) is secondary and nitroalkane in option (C) and (D) are primary nitroalkane, so they react with nitrous acid.
Therefore, option (A) $({CH_3})_3CNO_2 $ is correct.
Note:
The nitroso-nitroalkane gives blue colour in sodium hydroxide solution whereas the pseudonitroles give red colour in sodium hydroxide solution and tertiary nitroalkane does not react with nitrous acid.
Recently Updated Pages
Master Class 11 Accountancy: Engaging Questions & Answers for Success

Master Class 11 Science: Engaging Questions & Answers for Success

Master Class 11 Business Studies: Engaging Questions & Answers for Success

Master Class 11 English: Engaging Questions & Answers for Success

Master Class 11 Computer Science: Engaging Questions & Answers for Success

Master Class 9 General Knowledge: Engaging Questions & Answers for Success

Trending doubts
Sketch the electric field lines in case of an electric class 12 physics CBSE

Differentiate between homogeneous and heterogeneous class 12 chemistry CBSE

Derive an expression for electric potential at point class 12 physics CBSE

Mention any two factors on which the capacitance of class 12 physics CBSE

Drive an expression for the electric field due to an class 12 physics CBSE

a Draw Labelled diagram of Standard Hydrogen Electrode class 12 chemistry CBSE

