
Which one of the following does not exhibit the phenomenon of mutarotation?
A) (+) Sucrose
B) (+) Lactose
C) (+) Maltose
D) (-) Fructose
Answer
512.1k+ views
Hint: It is important to know that only reducing sugars have a free aldehyde (-CHO) or ketone (>C=0) group capable of mutarotation. As a result, only reducing sugars can undergo mutarotation, while non-reducing sugars cannot.
Complete answer:
First, we have to understand that mutarotation is the process in which the optical rotation of the compound changes in the aqueous solution. This is due to difference in the equipoise
between two anomers.
Now we shall discuss the structure of the given options in detail.
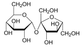
(+) Sucrose: Sucrose does not mutarotate. All sugars, however, do not have this mutarotation property. Sucrose lacks the ketone (>C-0) or free aldehyde (-CHO) groups. As a result, sucrose is incapable of mutarotation. This is the right option.
(+) Lactose: We know that the disaccharide sugar is lactose. It also contains a β (1→4)-glycosidic linkage that connects one glucose molecule to a galactose molecule. As a result, it is a reducing sugar that exhibits mutarotation. Therefore, this is not the right answer.
(+) Maltose: It's important to note that maltose is a reducing sugar with a hydroxyl group on the ring. It can mutarotate in aqueous solution because the α- and β-isomers formed by different conformations of the anomeric carbon have different specific rotations, and these two forms are in equilibrium in aqueous solutions. Therefore, this is not the right answer.
(-) Fructose: Fructose is classified as a monosaccharide and a reducing sugar which exhibits mutarotation. Therefore, this is not the right answer.
Therefore, we can conclude that sucrose is not a reducing sugar as it lacks a hydroxyl group in the ring. Hence, A) is the correct option. (+) Sucrose does not exhibit the phenomenon of mutarotation.
Note:
We also know that cellulose does not undergo mutarotation like sucrose. At the anomeric location of cellulose, they do not have hydroxyl group (OH) availability. As a result, cellulose does not undergo mutarotation.
Complete answer:
First, we have to understand that mutarotation is the process in which the optical rotation of the compound changes in the aqueous solution. This is due to difference in the equipoise
between two anomers.
Now we shall discuss the structure of the given options in detail.
(+) Sucrose: Sucrose does not mutarotate. All sugars, however, do not have this mutarotation property. Sucrose lacks the ketone (>C-0) or free aldehyde (-CHO) groups. As a result, sucrose is incapable of mutarotation. This is the right option.
(+) Lactose: We know that the disaccharide sugar is lactose. It also contains a β (1→4)-glycosidic linkage that connects one glucose molecule to a galactose molecule. As a result, it is a reducing sugar that exhibits mutarotation. Therefore, this is not the right answer.
(+) Maltose: It's important to note that maltose is a reducing sugar with a hydroxyl group on the ring. It can mutarotate in aqueous solution because the α- and β-isomers formed by different conformations of the anomeric carbon have different specific rotations, and these two forms are in equilibrium in aqueous solutions. Therefore, this is not the right answer.
(-) Fructose: Fructose is classified as a monosaccharide and a reducing sugar which exhibits mutarotation. Therefore, this is not the right answer.
Therefore, we can conclude that sucrose is not a reducing sugar as it lacks a hydroxyl group in the ring. Hence, A) is the correct option. (+) Sucrose does not exhibit the phenomenon of mutarotation.
Note:
We also know that cellulose does not undergo mutarotation like sucrose. At the anomeric location of cellulose, they do not have hydroxyl group (OH) availability. As a result, cellulose does not undergo mutarotation.
Recently Updated Pages
Why are manures considered better than fertilizers class 11 biology CBSE

Find the coordinates of the midpoint of the line segment class 11 maths CBSE

Distinguish between static friction limiting friction class 11 physics CBSE

The Chairman of the constituent Assembly was A Jawaharlal class 11 social science CBSE

The first National Commission on Labour NCL submitted class 11 social science CBSE

Number of all subshell of n + l 7 is A 4 B 5 C 6 D class 11 chemistry CBSE

Trending doubts
Differentiate between an exothermic and an endothermic class 11 chemistry CBSE

10 examples of friction in our daily life

One Metric ton is equal to kg A 10000 B 1000 C 100 class 11 physics CBSE

Difference Between Prokaryotic Cells and Eukaryotic Cells

1 Quintal is equal to a 110 kg b 10 kg c 100kg d 1000 class 11 physics CBSE

State the laws of reflection of light

