
Which of the following reactions would give $ trans - $ alkene.
A. (I)
B. (II)
C. (I), (III)
D. (II), (IV)
Answer
494.4k+ views
Hint :An optically inactive molecule whose molecule is superimposable on its mirror image in spite of the presence of asymmetric carbon atoms is known as meso compound. Such a molecule can be recognized by the fact that it possesses a mirror plane which divides the molecule into two halves which are mirror images of each other. Optical inactivity of a meso compound is due to internal compensation.
Complete Step By Step Answer:
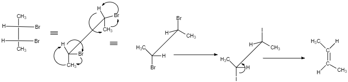
$ cis $ -form indicates that the substituents are on the same side of some plane (adjacent positions) and Trans-form indicates that the substituents are on the opposite positions.
Meso compounds having two same groups’ present with Anti-elimination gives $ trans $ -alkene.
Racemic compound having two same groups in Anti-elimination gives $ cis $ -alkene.
Racemic compounds with two different groups but the two eliminating groups present in anti-position on anti-elimination gives Trans-alkene as a product.
Racemic compound with two different groups but the two eliminating groups present in syn-position on anti-elimination gives $ cis $ -alkene.
(I)
(II)
(III)
(IV)
Therefore the correct answer is option C.
Note :
When there are three or four different groups attached to the carbon atoms of a double bond, it becomes difficult to assign $ cis $ and $ trans $ designation to isomers, to overcome this problem, a general system of geometrical isomers called the E and Z system was framed.
If the two higher prioritized groups are on the same side of the double bond, the isomer is called Z and if the two higher prioritized groups are on opposite sides of the double bond, the isomer is called E.
Complete Step By Step Answer:
$ cis $ -form indicates that the substituents are on the same side of some plane (adjacent positions) and Trans-form indicates that the substituents are on the opposite positions.
Meso compounds having two same groups’ present with Anti-elimination gives $ trans $ -alkene.
Racemic compound having two same groups in Anti-elimination gives $ cis $ -alkene.
Racemic compounds with two different groups but the two eliminating groups present in anti-position on anti-elimination gives Trans-alkene as a product.
Racemic compound with two different groups but the two eliminating groups present in syn-position on anti-elimination gives $ cis $ -alkene.
(I)
(II)
(III)
(IV)
Therefore the correct answer is option C.
Note :
When there are three or four different groups attached to the carbon atoms of a double bond, it becomes difficult to assign $ cis $ and $ trans $ designation to isomers, to overcome this problem, a general system of geometrical isomers called the E and Z system was framed.
If the two higher prioritized groups are on the same side of the double bond, the isomer is called Z and if the two higher prioritized groups are on opposite sides of the double bond, the isomer is called E.
Recently Updated Pages
Master Class 11 Chemistry: Engaging Questions & Answers for Success

Why are manures considered better than fertilizers class 11 biology CBSE

Find the coordinates of the midpoint of the line segment class 11 maths CBSE

Distinguish between static friction limiting friction class 11 physics CBSE

The Chairman of the constituent Assembly was A Jawaharlal class 11 social science CBSE

The first National Commission on Labour NCL submitted class 11 social science CBSE

Trending doubts
What is meant by exothermic and endothermic reactions class 11 chemistry CBSE

10 examples of friction in our daily life

One Metric ton is equal to kg A 10000 B 1000 C 100 class 11 physics CBSE

Difference Between Prokaryotic Cells and Eukaryotic Cells

What are Quantum numbers Explain the quantum number class 11 chemistry CBSE

1 Quintal is equal to a 110 kg b 10 kg c 100kg d 1000 class 11 physics CBSE

