
Which of the following reactions are feasible?
(A) $I,II$ and $IV$
(B) $I,II$ and $III$
(C) Only $III$
(D) Only $I$
Answer
485.7k+ views
Hint: To know whether a chemical reaction (organic reaction) is feasible or not, we need to know the structure of the reactants and their chemical properties. We should also know about the chemical properties of the reagents which are used in these reactions. Based on these properties, we will be able to know if a reaction is feasible or not.
Complete answer:
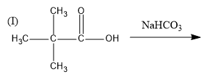
In this reaction, reactant is an acid and sodium bicarbonate $(NaHC{O_3})$ is a base. Therefore, it is an acid-base reaction and sodium salt of carboxylic acid will be formed. This reaction is feasible.
This reaction is known as the friedel crafts reaction in which a Lewis acid is added as a reagent which increases electron density on the benzene ring. Therefore, it is a feasible reaction and the reaction is given as follows:
At normal temperature and pressure conditions, Chlorobenzene does not react with aqueous NaOH to form phenol because Chlorobenzene is very stable due to resonance. Hence, this reaction is not feasible.
We know that sodium bicarbonate is a base and it reacts with acids to form a sodium salt. But phenol is weakly acidic in nature and hence, phenoxide ion (sodium salt of phenol) will not be formed in this reaction. Hence, this reaction is not feasible.
Therefore, the correct option is (C) Only $III$ .
Note:
We should remember that phenols are acidic in nature but they do not react with sodium bicarbonate to give sodium salt of phenol and a brisk effervescence. This is because phenols are not strong acids. So, based on the chemical properties of the substances we can determine the feasibility of any reaction.
Complete answer:
In this reaction, reactant is an acid and sodium bicarbonate $(NaHC{O_3})$ is a base. Therefore, it is an acid-base reaction and sodium salt of carboxylic acid will be formed. This reaction is feasible.
This reaction is known as the friedel crafts reaction in which a Lewis acid is added as a reagent which increases electron density on the benzene ring. Therefore, it is a feasible reaction and the reaction is given as follows:
At normal temperature and pressure conditions, Chlorobenzene does not react with aqueous NaOH to form phenol because Chlorobenzene is very stable due to resonance. Hence, this reaction is not feasible.
We know that sodium bicarbonate is a base and it reacts with acids to form a sodium salt. But phenol is weakly acidic in nature and hence, phenoxide ion (sodium salt of phenol) will not be formed in this reaction. Hence, this reaction is not feasible.
Therefore, the correct option is (C) Only $III$ .
Note:
We should remember that phenols are acidic in nature but they do not react with sodium bicarbonate to give sodium salt of phenol and a brisk effervescence. This is because phenols are not strong acids. So, based on the chemical properties of the substances we can determine the feasibility of any reaction.
Recently Updated Pages
Why are manures considered better than fertilizers class 11 biology CBSE

Find the coordinates of the midpoint of the line segment class 11 maths CBSE

Distinguish between static friction limiting friction class 11 physics CBSE

The Chairman of the constituent Assembly was A Jawaharlal class 11 social science CBSE

The first National Commission on Labour NCL submitted class 11 social science CBSE

Number of all subshell of n + l 7 is A 4 B 5 C 6 D class 11 chemistry CBSE

Trending doubts
Differentiate between an exothermic and an endothermic class 11 chemistry CBSE

10 examples of friction in our daily life

One Metric ton is equal to kg A 10000 B 1000 C 100 class 11 physics CBSE

Difference Between Prokaryotic Cells and Eukaryotic Cells

1 Quintal is equal to a 110 kg b 10 kg c 100kg d 1000 class 11 physics CBSE

State the laws of reflection of light

