
Which of the following is isooctane?
A.
B.
C.
D. None
Answer
515.1k+ views
Hint: Alkanes are the hydrocarbons having only single bonds. They are named according to the number of carbon atoms present in the molecules. Iso is a prefix used for naming branched alkyl chains where one methyl group is attached as a branch on the carbon of straight chain.
Complete answer:
The naming of organic compounds is done by following the norms and standards given by IUPAC. According to IUPAC, some of the nomenclature rules followed in the given compounds with straight or branched chain carbon atoms are:
- the longest possible carbon chain is selected for naming, this is called the parent chain. The carbon atoms that are not included in this chain are called branched chain or side chain.
- this longest chain can be zig – zag or a straight chain.
- the numbering is done as the carbon having branches gets the lowest possible number.
- for alkyl chains the prefix ‘iso’ is used for a branch of 1 alkyl group on the carbon atom. This iso prefix is the fundamental name and written alphabetically.
- alkenes are named according to the number of carbon atoms present, like 1 carbon – methane, 2 carbon – ethane etc.
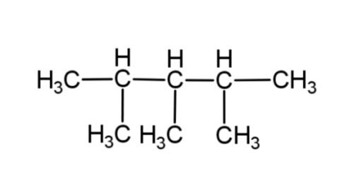
From these rules, the structure of isooctane, will have 8 – carbon atoms, as octane has 8 carbons, and along with this it will have only 1 methyl group as a branch. So the structure of isooctane is:
Hence, option C is correct.
Note:
Iso is given as a prefix with only 1 methyl branch, while neo prefix is given for methyl branches in consecutive adjacent carbon atoms. These are the prefix for simple alkyl branches, while ‘sec’ and ‘tert’ prefix are given to the alkyl branches that have functional groups, or secondary carbons.
Complete answer:
The naming of organic compounds is done by following the norms and standards given by IUPAC. According to IUPAC, some of the nomenclature rules followed in the given compounds with straight or branched chain carbon atoms are:
- the longest possible carbon chain is selected for naming, this is called the parent chain. The carbon atoms that are not included in this chain are called branched chain or side chain.
- this longest chain can be zig – zag or a straight chain.
- the numbering is done as the carbon having branches gets the lowest possible number.
- for alkyl chains the prefix ‘iso’ is used for a branch of 1 alkyl group on the carbon atom. This iso prefix is the fundamental name and written alphabetically.
- alkenes are named according to the number of carbon atoms present, like 1 carbon – methane, 2 carbon – ethane etc.
From these rules, the structure of isooctane, will have 8 – carbon atoms, as octane has 8 carbons, and along with this it will have only 1 methyl group as a branch. So the structure of isooctane is:
Hence, option C is correct.
Note:
Iso is given as a prefix with only 1 methyl branch, while neo prefix is given for methyl branches in consecutive adjacent carbon atoms. These are the prefix for simple alkyl branches, while ‘sec’ and ‘tert’ prefix are given to the alkyl branches that have functional groups, or secondary carbons.
Recently Updated Pages
Why are manures considered better than fertilizers class 11 biology CBSE

Find the coordinates of the midpoint of the line segment class 11 maths CBSE

Distinguish between static friction limiting friction class 11 physics CBSE

The Chairman of the constituent Assembly was A Jawaharlal class 11 social science CBSE

The first National Commission on Labour NCL submitted class 11 social science CBSE

Number of all subshell of n + l 7 is A 4 B 5 C 6 D class 11 chemistry CBSE

Trending doubts
What is meant by exothermic and endothermic reactions class 11 chemistry CBSE

10 examples of friction in our daily life

One Metric ton is equal to kg A 10000 B 1000 C 100 class 11 physics CBSE

1 Quintal is equal to a 110 kg b 10 kg c 100kg d 1000 class 11 physics CBSE

Difference Between Prokaryotic Cells and Eukaryotic Cells

What are Quantum numbers Explain the quantum number class 11 chemistry CBSE

