
Which of the following have +M effect (${e^ - }$ donating mesomeric effect) ?
This question has multiple correct options
(A) $N{O_2}$
(B) $COOH$
(C) $N{H_2}$
(D) $SR$
Answer
577.2k+ views
Hint: The mesomeric effect in chemistry is a property of substituents or functional groups in a chemical compound. It is defined as the polarity produced in the molecule by the interaction of two $Pi(\pi )$ bonds or between a pi bond and lone pair of electrons present on an adjacent atom.
Complete answer:
There are two types of mesomeric effect:
a) $+M$ effect (${e^ - }$ donating effect)
b) $-M$ effect (${e^ - }$ withdrawing effect)
1. $+M$ effect (${e^ - }$ donating effect) – When the electrons or the $\pi $ electrons are transferred from a particular group towards a conjugate system, this increasing the electron density of the conjugate system then such a phenomenon is known as $(+M)$ effect ${e^ - }$ donating mesomeric effect. For the $+M$ effect the group should have a lone pair or negative charge.
Group showing $+M$ effect –
$- NH, - N{H_2} - NHR, - NR, - O, - OH, - OR, - F, - Cl, - SH, - SR$ etc.
2. $-M$ effect (${e^ - }$ donating effect) – When pi-bond electrons are transferred from the conjugate system to a particular group thus the electron density of the conjugate system is discovered, then the phenomenon is known as negative isomeric effect $( - M)$.
Group showing $ - M$ effect –
$- N{O_2}, - CN, - COX, - S{O_3}H, - CHO, - CON{H_2}, - COR, - COOH, - COOR$ etc.
Therefore from the above information
$- N{O_2}$ and $- COOH$ are electron withdrawing groups
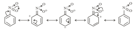
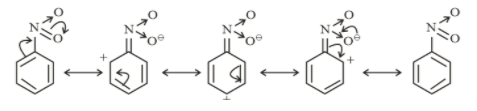
Resonating structures of nitrobenzene
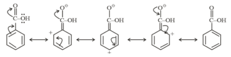
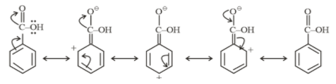
Resonating structure of Benzoic acid
From above structures, it is clear that $- N{O_2}$ and $- COOH$ withdraw electrons from the ring. So they show a $- M$ effect.
$- N{H_2}$ and $ - SR$ are electron donating groups –
Resonating structures of Aniline
Resonating structure of Thiophenol
From the above structure, it is clear that $ - N{H_2}$ and $ - SH$ donate electrons in the ring. So, they show $ + M$ effect.
Hence, the correct answers are (C) and (D) $( - N{H_2}, - SR)$.
Note: Molecules which have double or triple bond show $ - M$ effect whereas molecules which have lone pair on the directly bonded atom show $ + M$ effect
Complete answer:
There are two types of mesomeric effect:
a) $+M$ effect (${e^ - }$ donating effect)
b) $-M$ effect (${e^ - }$ withdrawing effect)
1. $+M$ effect (${e^ - }$ donating effect) – When the electrons or the $\pi $ electrons are transferred from a particular group towards a conjugate system, this increasing the electron density of the conjugate system then such a phenomenon is known as $(+M)$ effect ${e^ - }$ donating mesomeric effect. For the $+M$ effect the group should have a lone pair or negative charge.
Group showing $+M$ effect –
$- NH, - N{H_2} - NHR, - NR, - O, - OH, - OR, - F, - Cl, - SH, - SR$ etc.
2. $-M$ effect (${e^ - }$ donating effect) – When pi-bond electrons are transferred from the conjugate system to a particular group thus the electron density of the conjugate system is discovered, then the phenomenon is known as negative isomeric effect $( - M)$.
Group showing $ - M$ effect –
$- N{O_2}, - CN, - COX, - S{O_3}H, - CHO, - CON{H_2}, - COR, - COOH, - COOR$ etc.
Therefore from the above information
$- N{O_2}$ and $- COOH$ are electron withdrawing groups
Resonating structures of nitrobenzene
Resonating structure of Benzoic acid
From above structures, it is clear that $- N{O_2}$ and $- COOH$ withdraw electrons from the ring. So they show a $- M$ effect.
$- N{H_2}$ and $ - SR$ are electron donating groups –
Resonating structures of Aniline
Resonating structure of Thiophenol
From the above structure, it is clear that $ - N{H_2}$ and $ - SH$ donate electrons in the ring. So, they show $ + M$ effect.
Hence, the correct answers are (C) and (D) $( - N{H_2}, - SR)$.
Note: Molecules which have double or triple bond show $ - M$ effect whereas molecules which have lone pair on the directly bonded atom show $ + M$ effect
Recently Updated Pages
Master Class 11 Economics: Engaging Questions & Answers for Success

Master Class 11 English: Engaging Questions & Answers for Success

Master Class 11 Social Science: Engaging Questions & Answers for Success

Master Class 11 Biology: Engaging Questions & Answers for Success

Class 11 Question and Answer - Your Ultimate Solutions Guide

Master Class 11 Business Studies: Engaging Questions & Answers for Success

Trending doubts
What is meant by exothermic and endothermic reactions class 11 chemistry CBSE

10 examples of friction in our daily life

One Metric ton is equal to kg A 10000 B 1000 C 100 class 11 physics CBSE

Difference Between Prokaryotic Cells and Eukaryotic Cells

What are Quantum numbers Explain the quantum number class 11 chemistry CBSE

1 Quintal is equal to a 110 kg b 10 kg c 100kg d 1000 class 11 physics CBSE

