
Which of the following compounds will show the maximum enol content?
(A)- ${\text{C}}{{\text{H}}_{\text{3}}}{\text{COC}}{{\text{H}}_{\text{2}}}{\text{COC}}{{\text{H}}_{\text{3}}}$
(B)- ${\text{C}}{{\text{H}}_{\text{3}}}{\text{COC}}{{\text{H}}_{\text{3}}}$
(C)- ${\text{C}}{{\text{H}}_{\text{3}}}{\text{COC}}{{\text{H}}_{\text{2}}}{\text{CON}}{{\text{H}}_2}$
(D)- ${\text{C}}{{\text{H}}_{\text{3}}}{\text{COC}}{{\text{H}}_{\text{2}}}{\text{COO}}{{\text{C}}_2}{{\text{H}}_5}$
Answer
569.4k+ views
Hint: Maximum enol content is shown by that compound in which enol form is stabilized by the hydrogen bonding between the oxygen atom and electronegative atom present in the molecule.
Complete Solution :
Discuss of the enol content in the above given compounds is as follow:
-In option (A) ${\text{C}}{{\text{H}}_{\text{3}}}{\text{COC}}{{\text{H}}_{\text{2}}}{\text{COC}}{{\text{H}}_{\text{3}}}$ compound is given and in this compound keto functional group is converted into enol form by following manner:
Here one carbonyl group or keto group converted into enol functional group and double bond is formed between carbonyl carbon and ${\text{C}}{{\text{H}}_{\text{2}}}$ carbon. And this enol form is stabilized by the intramolecular hydrogen bonding between two carbonyl groups.
-In option (B) ${\text{C}}{{\text{H}}_{\text{3}}}{\text{COC}}{{\text{H}}_{\text{3}}}$ compound is given and in this compound keto functional group is converted into enol form by following manner:
This enol form is not that much stable because near carbonyl group ${\text{ + I}}$ effect showing alkyl groups are present which decreases positive charge of carbonyl carbon.
-In option (C) ${\text{C}}{{\text{H}}_{\text{3}}}{\text{COC}}{{\text{H}}_{\text{2}}}{\text{CON}}{{\text{H}}_2}$compound is given and in this compound keto functional group is converted into enol form by following manner:
Here this enol form is also not that much of stable because with the second carbonyl group electron donating group ${\text{N}}{{\text{H}}_{\text{2}}}$ is present, which decreases positive charge of carbonyl group carbon and there is not appreciable negative charge on carbonyl group oxygen so that they are not able to make intramolecular hydrogen bonding; due to which this compound doesn’t attain stability.
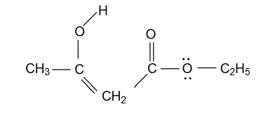
-In option (D) ${\text{C}}{{\text{H}}_{\text{3}}}{\text{COC}}{{\text{H}}_{\text{2}}}{\text{COO}}{{\text{C}}_2}{{\text{H}}_5}$compound is given and in this compound keto functional group is converted into enol form by following manner:
Here this enol form is also not that much stable because in this compound the second carbonyl group is present in resonance with the lone pair of electrons present in the near oxygen atom, that’s why the second carbonyl group is not involved in the formation of enol form.
Among all given compounds only ${\text{C}}{{\text{H}}_{\text{3}}}{\text{COC}}{{\text{H}}_{\text{2}}}{\text{COC}}{{\text{H}}_{\text{3}}}$ shows high enol content because all two carbonyl group is involved in the formation of enol compound, through hydrogen bonding.
So, the correct answer is “Option A”.
Note: Here some of you may thought that why ${\text{C}}{{\text{H}}_{\text{3}}}{\text{COC}}{{\text{H}}_{\text{2}}}{\text{CON}}{{\text{H}}_2}$ & ${\text{C}}{{\text{H}}_{\text{3}}}{\text{COC}}{{\text{H}}_{\text{2}}}{\text{COO}}{{\text{C}}_2}{{\text{H}}_5}$were not show high enol content while they also had two carbonyl groups. So the reason is that the second carbonyl group present in these compounds is not involved in the formation of stable enol form.
Complete Solution :
Discuss of the enol content in the above given compounds is as follow:
-In option (A) ${\text{C}}{{\text{H}}_{\text{3}}}{\text{COC}}{{\text{H}}_{\text{2}}}{\text{COC}}{{\text{H}}_{\text{3}}}$ compound is given and in this compound keto functional group is converted into enol form by following manner:
Here one carbonyl group or keto group converted into enol functional group and double bond is formed between carbonyl carbon and ${\text{C}}{{\text{H}}_{\text{2}}}$ carbon. And this enol form is stabilized by the intramolecular hydrogen bonding between two carbonyl groups.
-In option (B) ${\text{C}}{{\text{H}}_{\text{3}}}{\text{COC}}{{\text{H}}_{\text{3}}}$ compound is given and in this compound keto functional group is converted into enol form by following manner:
This enol form is not that much stable because near carbonyl group ${\text{ + I}}$ effect showing alkyl groups are present which decreases positive charge of carbonyl carbon.
-In option (C) ${\text{C}}{{\text{H}}_{\text{3}}}{\text{COC}}{{\text{H}}_{\text{2}}}{\text{CON}}{{\text{H}}_2}$compound is given and in this compound keto functional group is converted into enol form by following manner:
Here this enol form is also not that much of stable because with the second carbonyl group electron donating group ${\text{N}}{{\text{H}}_{\text{2}}}$ is present, which decreases positive charge of carbonyl group carbon and there is not appreciable negative charge on carbonyl group oxygen so that they are not able to make intramolecular hydrogen bonding; due to which this compound doesn’t attain stability.
-In option (D) ${\text{C}}{{\text{H}}_{\text{3}}}{\text{COC}}{{\text{H}}_{\text{2}}}{\text{COO}}{{\text{C}}_2}{{\text{H}}_5}$compound is given and in this compound keto functional group is converted into enol form by following manner:
Here this enol form is also not that much stable because in this compound the second carbonyl group is present in resonance with the lone pair of electrons present in the near oxygen atom, that’s why the second carbonyl group is not involved in the formation of enol form.
Among all given compounds only ${\text{C}}{{\text{H}}_{\text{3}}}{\text{COC}}{{\text{H}}_{\text{2}}}{\text{COC}}{{\text{H}}_{\text{3}}}$ shows high enol content because all two carbonyl group is involved in the formation of enol compound, through hydrogen bonding.
So, the correct answer is “Option A”.
Note: Here some of you may thought that why ${\text{C}}{{\text{H}}_{\text{3}}}{\text{COC}}{{\text{H}}_{\text{2}}}{\text{CON}}{{\text{H}}_2}$ & ${\text{C}}{{\text{H}}_{\text{3}}}{\text{COC}}{{\text{H}}_{\text{2}}}{\text{COO}}{{\text{C}}_2}{{\text{H}}_5}$were not show high enol content while they also had two carbonyl groups. So the reason is that the second carbonyl group present in these compounds is not involved in the formation of stable enol form.
Recently Updated Pages
Master Class 12 Economics: Engaging Questions & Answers for Success

Master Class 12 Physics: Engaging Questions & Answers for Success

Master Class 12 English: Engaging Questions & Answers for Success

Master Class 12 Social Science: Engaging Questions & Answers for Success

Master Class 12 Maths: Engaging Questions & Answers for Success

Master Class 12 Business Studies: Engaging Questions & Answers for Success

Trending doubts
Which are the Top 10 Largest Countries of the World?

What are the major means of transport Explain each class 12 social science CBSE

Draw a labelled sketch of the human eye class 12 physics CBSE

Why cannot DNA pass through cell membranes class 12 biology CBSE

Differentiate between insitu conservation and exsitu class 12 biology CBSE

Draw a neat and well labeled diagram of TS of ovary class 12 biology CBSE

