
Which of the following are resolvable:
A.
B.
C.
D.
Answer
558.9k+ views
Hint: To answer this question, you should recall the concept of optical isomerism. To identify resolvable and non-resolvable isomers you need to know about the presence of a chiral carbon and should not contain any symmetry.
Complete step by step solution:
For any chemical entity to be optically active it should have a chiral carbon and should not contain any symmetry. Resolving means conversion of an optically inactive compound to the optically active compound. Make sure you remember that meso compounds will never be resolved.
Let us analyse the options systematically:
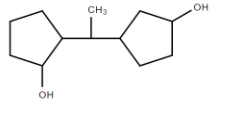
Does not have an asymmetrical carbon atom because two R groups are the same.
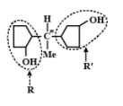
It is optically active since it has an asymmetrical C atom. Four different groups are \[R,\;R\prime ,C{H_3}{\text{ and}}\;H\]
It is optically inactive due to the presence of diagonal planes of symmetry and the alternating axis of symmetry.
It is optically active since it has asymmetrical carbon atoms. Four different groups are \[H,Me,R,{\text{ and}}R\prime \]
Hence,options B and D are correct.
Note:
Meso compounds will never be resolved. In general, a meso compound should contain two or more identical substituted stereocenters. This molecule also has an internal symmetry plane that divides the compound in half. These two halves reflect each other by the internal mirror. This results in the stereochemistry being cancelled out by the two stereocenters hence resulting in an optically inactive mixture. If A is a meso compound, it should have two or more stereocenters, an internal plane, and the stereochemistry should be R and S:
Look for an internal plane, or internal mirror, that lies in between the compound.
R cancels S out in a meso compound with two stereo centres making it optically inactive.
Complete step by step solution:
For any chemical entity to be optically active it should have a chiral carbon and should not contain any symmetry. Resolving means conversion of an optically inactive compound to the optically active compound. Make sure you remember that meso compounds will never be resolved.
Let us analyse the options systematically:
Does not have an asymmetrical carbon atom because two R groups are the same.
It is optically active since it has an asymmetrical C atom. Four different groups are \[R,\;R\prime ,C{H_3}{\text{ and}}\;H\]
It is optically inactive due to the presence of diagonal planes of symmetry and the alternating axis of symmetry.
It is optically active since it has asymmetrical carbon atoms. Four different groups are \[H,Me,R,{\text{ and}}R\prime \]
Hence,options B and D are correct.
Note:
Meso compounds will never be resolved. In general, a meso compound should contain two or more identical substituted stereocenters. This molecule also has an internal symmetry plane that divides the compound in half. These two halves reflect each other by the internal mirror. This results in the stereochemistry being cancelled out by the two stereocenters hence resulting in an optically inactive mixture. If A is a meso compound, it should have two or more stereocenters, an internal plane, and the stereochemistry should be R and S:
Look for an internal plane, or internal mirror, that lies in between the compound.
R cancels S out in a meso compound with two stereo centres making it optically inactive.
Recently Updated Pages
Why are manures considered better than fertilizers class 11 biology CBSE

Find the coordinates of the midpoint of the line segment class 11 maths CBSE

Distinguish between static friction limiting friction class 11 physics CBSE

The Chairman of the constituent Assembly was A Jawaharlal class 11 social science CBSE

The first National Commission on Labour NCL submitted class 11 social science CBSE

Number of all subshell of n + l 7 is A 4 B 5 C 6 D class 11 chemistry CBSE

Trending doubts
What is meant by exothermic and endothermic reactions class 11 chemistry CBSE

10 examples of friction in our daily life

One Metric ton is equal to kg A 10000 B 1000 C 100 class 11 physics CBSE

1 Quintal is equal to a 110 kg b 10 kg c 100kg d 1000 class 11 physics CBSE

Difference Between Prokaryotic Cells and Eukaryotic Cells

What are Quantum numbers Explain the quantum number class 11 chemistry CBSE

