
Which of the following are polyamide polymers?
A. Nylon-6,10
B. Nylon-6,6
C. Nylon-5
D. Perlon-U
Answer
583.2k+ views
Hint:
We know that polymer of polyamide is made up of monomer units in which amide group is present. Amide group is the $CO-N{{H}_{2}}$and the polyamide contains the $CO-NH$ linkage. Check all options whether there is amide group present or not.
Complete step by step solution:
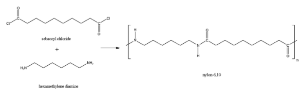
The Nylon-6,10 is a polymer made up of the monomer units hexamethylenediamine and sebacoyl chloride. In this polymer, there is $CO-NH$ (amide) linkage and therefore, it is a polyamide polymer.
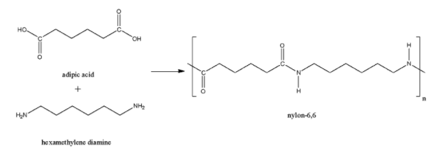
The Nylon-6,6 is a polymer made up of the monomer units hexamethylenediamine and adipic acid. Here also, the acid group and amine group joined together to form the amide linkage. So, Nylon-6,6 is also a polyamide polymer.
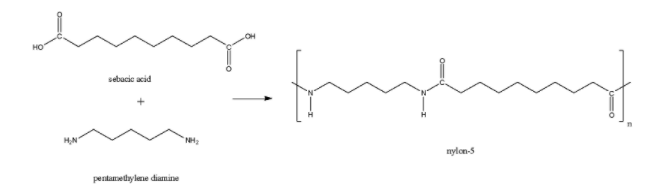
Nylon-5 is formed from the monomer units of pentamethylene diamine and sebacic acid. Here also, there is an amide linkage present. So, Nylon-5 is a polyamide polymer.
The perlon-U is also known as polyurethane also formed through the polyamide linkage after the combination of 1,4-butanediol and 1,6-hexamethylene diisocyanate. So, perlon-U is also a polyamide polymer.
Here, in each example, we can see that at least one $CO-NH$ bond.
Therefore, Nylon-6,10, Nylon-6,6, Nylon-5 and Perlon-U are polyamide polymers. So, the correct option is (a), (b), (c) and (d).
Note:
The name Nylon-6,10 suggests that one monomer unit of Nylon contains 6 carbons and the other monomer units contains 10 carbons. Similarly, Nylon-6,6 contains monomer units hexamethylenediamine and adipic acids, both having 6 carbon atoms.
We know that polymer of polyamide is made up of monomer units in which amide group is present. Amide group is the $CO-N{{H}_{2}}$and the polyamide contains the $CO-NH$ linkage. Check all options whether there is amide group present or not.
Complete step by step solution:
The Nylon-6,10 is a polymer made up of the monomer units hexamethylenediamine and sebacoyl chloride. In this polymer, there is $CO-NH$ (amide) linkage and therefore, it is a polyamide polymer.
The Nylon-6,6 is a polymer made up of the monomer units hexamethylenediamine and adipic acid. Here also, the acid group and amine group joined together to form the amide linkage. So, Nylon-6,6 is also a polyamide polymer.
Nylon-5 is formed from the monomer units of pentamethylene diamine and sebacic acid. Here also, there is an amide linkage present. So, Nylon-5 is a polyamide polymer.
The perlon-U is also known as polyurethane also formed through the polyamide linkage after the combination of 1,4-butanediol and 1,6-hexamethylene diisocyanate. So, perlon-U is also a polyamide polymer.
Here, in each example, we can see that at least one $CO-NH$ bond.
Therefore, Nylon-6,10, Nylon-6,6, Nylon-5 and Perlon-U are polyamide polymers. So, the correct option is (a), (b), (c) and (d).
Note:
The name Nylon-6,10 suggests that one monomer unit of Nylon contains 6 carbons and the other monomer units contains 10 carbons. Similarly, Nylon-6,6 contains monomer units hexamethylenediamine and adipic acids, both having 6 carbon atoms.
Recently Updated Pages
Why are manures considered better than fertilizers class 11 biology CBSE

Find the coordinates of the midpoint of the line segment class 11 maths CBSE

Distinguish between static friction limiting friction class 11 physics CBSE

The Chairman of the constituent Assembly was A Jawaharlal class 11 social science CBSE

The first National Commission on Labour NCL submitted class 11 social science CBSE

Number of all subshell of n + l 7 is A 4 B 5 C 6 D class 11 chemistry CBSE

Trending doubts
Differentiate between an exothermic and an endothermic class 11 chemistry CBSE

10 examples of friction in our daily life

One Metric ton is equal to kg A 10000 B 1000 C 100 class 11 physics CBSE

Difference Between Prokaryotic Cells and Eukaryotic Cells

1 Quintal is equal to a 110 kg b 10 kg c 100kg d 1000 class 11 physics CBSE

State the laws of reflection of light

