
Two identical positive charges are placed on the $y$ axis at $y=-a$ and $y=+a$. The variation of $V$ (electric potential) along $x$ axis is shown by graph:
A.
B.
C.
D.
Answer
523.2k+ views
Hint: To know about the variation of electric potential along the $x$ axis can be found out by calculating electric potential at different points on the $x$ axis. We can calculate the electric potential at a random point on the $x$ axis first and then use it to find the variation of electric potential.
Complete answer:
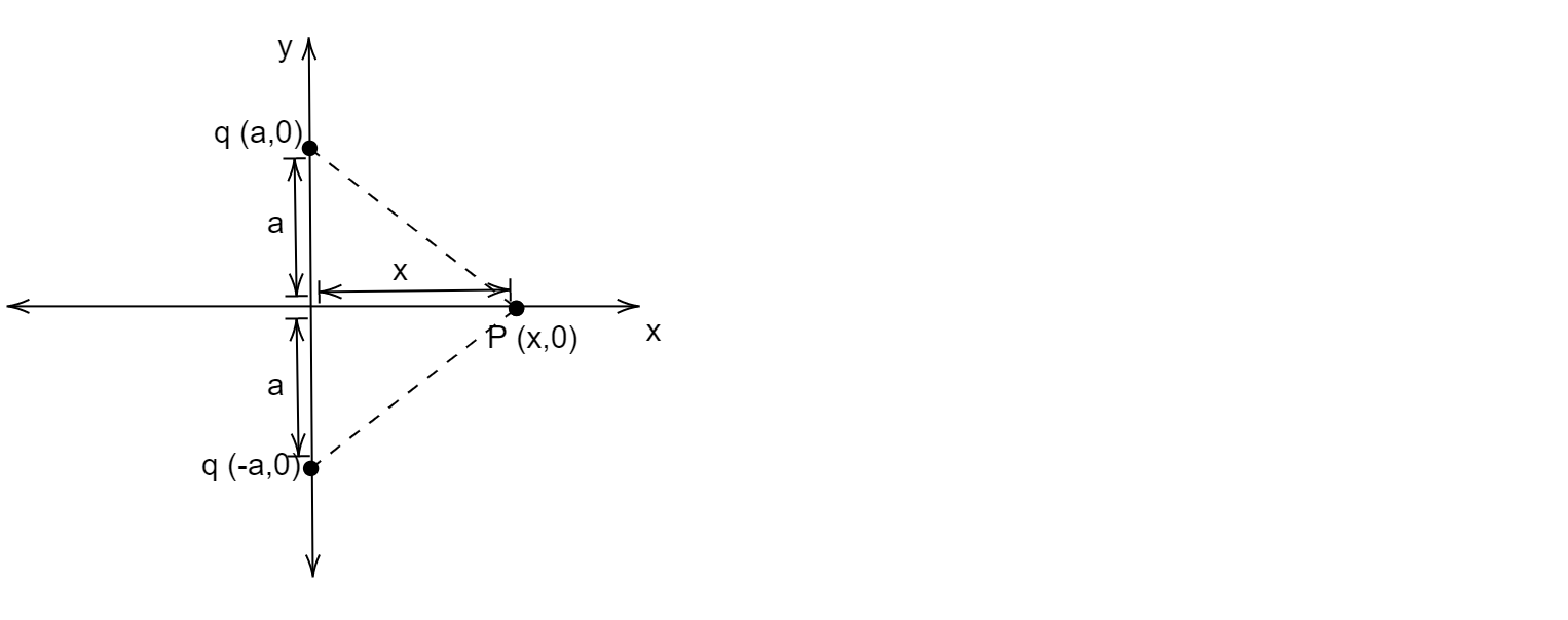
Let us first consider a random point on the $x$ axis. Let the random point at which we will find the electric potential be at the point $(x,0)$ and let us call it $P$.
The distance $d$ of the point $P$ from the two identical positive charges can be found out by Pythagorean theorem:
$d=\sqrt{{{a}^{2}}+{{x}^{2}}}$
The electric potential at point $P$ due to the positive charge placed at $y=-a$ will be:
${{V}_{1}}=\dfrac{kq}{\sqrt{{{a}^{2}}+{{x}^{2}}}}$
The electric potential at point $P$ due to the positive charge placed at $y=+a$ will be:
${{V}_{2}}=\dfrac{kq}{\sqrt{{{a}^{2}}+{{x}^{2}}}}$
The total electric potential at point $P$ due to both the positive charges will be:
$\begin{align}
& {{V}_{total}}={{V}_{1}}+{{V}_{2}} \\
& {{V}_{total}}=\dfrac{kq}{\sqrt{{{a}^{2}}+{{x}^{2}}}}+\dfrac{kq}{\sqrt{{{a}^{2}}+{{x}^{2}}}} \\
& {{V}_{total}}=\dfrac{2kq}{\sqrt{{{a}^{2}}+{{x}^{2}}}} \\
\end{align}$
At origin, when $x=0$, the total electric potential will be:
$\begin{align}
& {{V}_{total}}=\dfrac{2kq}{\sqrt{{{a}^{2}}+{{0}^{2}}}} \\
& {{V}_{total}}=\dfrac{2kq}{\sqrt{{{a}^{2}}}} \\
& {{V}_{total}}=\dfrac{2kq}{a} \\
\end{align}$
When $x\to \infty $, the total electric potential will be:
$\begin{align}
& {{V}_{total}}=\dfrac{2kq}{\sqrt{{{a}^{2}}+{{x}^{2}}}} \\
& {{V}_{total}}=\dfrac{2kq}{x\sqrt{\dfrac{{{a}^{2}}}{{{x}^{2}}}+\dfrac{{{x}^{2}}}{{{x}^{2}}}}} \\
& {{V}_{total}}=\dfrac{2kq}{x\sqrt{0+1}} \\
& {{V}_{total}}=\dfrac{2kq}{x} \\
& {{V}_{total}}\to 0 \\
\end{align}$
Now we need to find the graph that matches the value of the electric potential that we found out for electric potential at $x=0$ and $x\to \infty $. If we observe carefully, then graph $A$ acquires a maximum value at $x=0$ and a minimum value at $x\to \infty $.
Therefore, the correct option is $A$.
Note:
Students might get confused between option $A$ and option $C$ but we must also see that the electric potential is inversely proportional to the distance on $x$ axis, therefore the graph must be a rectangular hyperbola, thus option $A$ must be correct.
Complete answer:
Let us first consider a random point on the $x$ axis. Let the random point at which we will find the electric potential be at the point $(x,0)$ and let us call it $P$.
The distance $d$ of the point $P$ from the two identical positive charges can be found out by Pythagorean theorem:
$d=\sqrt{{{a}^{2}}+{{x}^{2}}}$
The electric potential at point $P$ due to the positive charge placed at $y=-a$ will be:
${{V}_{1}}=\dfrac{kq}{\sqrt{{{a}^{2}}+{{x}^{2}}}}$
The electric potential at point $P$ due to the positive charge placed at $y=+a$ will be:
${{V}_{2}}=\dfrac{kq}{\sqrt{{{a}^{2}}+{{x}^{2}}}}$
The total electric potential at point $P$ due to both the positive charges will be:
$\begin{align}
& {{V}_{total}}={{V}_{1}}+{{V}_{2}} \\
& {{V}_{total}}=\dfrac{kq}{\sqrt{{{a}^{2}}+{{x}^{2}}}}+\dfrac{kq}{\sqrt{{{a}^{2}}+{{x}^{2}}}} \\
& {{V}_{total}}=\dfrac{2kq}{\sqrt{{{a}^{2}}+{{x}^{2}}}} \\
\end{align}$
At origin, when $x=0$, the total electric potential will be:
$\begin{align}
& {{V}_{total}}=\dfrac{2kq}{\sqrt{{{a}^{2}}+{{0}^{2}}}} \\
& {{V}_{total}}=\dfrac{2kq}{\sqrt{{{a}^{2}}}} \\
& {{V}_{total}}=\dfrac{2kq}{a} \\
\end{align}$
When $x\to \infty $, the total electric potential will be:
$\begin{align}
& {{V}_{total}}=\dfrac{2kq}{\sqrt{{{a}^{2}}+{{x}^{2}}}} \\
& {{V}_{total}}=\dfrac{2kq}{x\sqrt{\dfrac{{{a}^{2}}}{{{x}^{2}}}+\dfrac{{{x}^{2}}}{{{x}^{2}}}}} \\
& {{V}_{total}}=\dfrac{2kq}{x\sqrt{0+1}} \\
& {{V}_{total}}=\dfrac{2kq}{x} \\
& {{V}_{total}}\to 0 \\
\end{align}$
Now we need to find the graph that matches the value of the electric potential that we found out for electric potential at $x=0$ and $x\to \infty $. If we observe carefully, then graph $A$ acquires a maximum value at $x=0$ and a minimum value at $x\to \infty $.
Therefore, the correct option is $A$.
Note:
Students might get confused between option $A$ and option $C$ but we must also see that the electric potential is inversely proportional to the distance on $x$ axis, therefore the graph must be a rectangular hyperbola, thus option $A$ must be correct.
Recently Updated Pages
Master Class 11 Economics: Engaging Questions & Answers for Success

Master Class 11 English: Engaging Questions & Answers for Success

Master Class 11 Social Science: Engaging Questions & Answers for Success

Master Class 11 Biology: Engaging Questions & Answers for Success

Class 11 Question and Answer - Your Ultimate Solutions Guide

Master Class 11 Business Studies: Engaging Questions & Answers for Success

Trending doubts
What is meant by exothermic and endothermic reactions class 11 chemistry CBSE

10 examples of friction in our daily life

One Metric ton is equal to kg A 10000 B 1000 C 100 class 11 physics CBSE

Difference Between Prokaryotic Cells and Eukaryotic Cells

What are Quantum numbers Explain the quantum number class 11 chemistry CBSE

1 Quintal is equal to a 110 kg b 10 kg c 100kg d 1000 class 11 physics CBSE

